Research Article
Creative Commons, CC-BY
Development, Validation, and Reliability of a Knowledge, Attitudes, and Practices Questionnaire Regarding Occupational Blood-Borne Pathogens for Healthcare Workers in Saudi Arabia
*Corresponding author: Khalid Dakhelalah Almutairi, Ph.D. Candidate, King Abdulaziz University, Jeddah, Kingdom of Saudi Arabia.
Received: January 25, 2025; Published: January 30, 2025
DOI: 10.34297/AJBSR.2025.25.003355
Abstract
Background: Healthcare workers (HCWs) are at risk of occupational hazards such as blood-borne pathogens (BBPs) and needlestick injuries, making infection control practices essential. This study aimed to develop and validate a reliable and contextually relevant Knowledge, Attitudes, and Practices (KAP) questionnaire.
Methods: A cross-sectional study was conducted to develop and validate a KAP questionnaire on occupational BBPs among HCWs in Saudi Arabia. The questionnaire, based on literature and expert input, covered three domains: knowledge (23 items), attitudes (10 items), and practices (20 items). The questionnaire underwent validation using a Delphi method, a content validity index (CVI), face validation with 22 healthcare workers, and reliability testing using Cronbach’s Alpha. A stratified random sample of 122 HCWs participated. Data were analyzed using SPSS 29, with descriptive and inferential statistics applied to assess KAP scores and identify predictors.
Results: The study included HCWs with a balanced gender distribution of 58(51.8% males) and 54(48.2% females). The questionnaire underwent finalization, and the content validity index (CVI) was calculated for each item and the overall tool, with a CVI threshold of ≥0.8 deemed acceptable. Reliability was assessed using Cronbach’s Alpha, with values ≥0.7 considered adequate for each domain and the overall questionnaire. Intra-class correlation coefficients (ICCs) were used to check the reliability, and values ≥0.75 were considered good. The KAP questionnaire demonstrates excellent reliability, indicating a strong consistency across all items measuring knowledge, attitude, and practice.
Conclusion: The newly developed KAP questionnaire’s internal consistency and reliability analysis highlights its strength and effectiveness as a dependable tool for evaluating healthcare workers’ knowledge, attitudes, and practices related to BBP infection control in Saudi Arabia.
Keywords: Knowledge, Attitudes, Practices, Blood Borne Pathogens, Questionnaire development, Occupational hazard
Introduction
Bloodborne pathogens (BBPs) such as hepatitis B virus (HBV), hepatitis C virus (HCV), and human immunodeficiency virus (HIV) are highly infectious and can lead to severe chronic diseases [1]. These pathogens pose a significant occupational hazard for healthcare workers (HCWs), posing risks to their health and well-being [2]. In healthcare settings, exposure through needle stick injuries, sharps accidents, or contact with infected bodily fluids remains a persistent challenge despite advances in safety measures and protective equipment [3].
Understanding HCWs’ knowledge, attitudes, and practices (KAP) regarding BBPs is essential for preventing occupational infections and ensuring effective infection control strategies [4]. Knowledge equips HCWs to understand risks and protective measures, attitudes influence their willingness to adhere to infection control protocols, and practices reflect the actual implementation of safety measures [5]. Assessing these domains provides valuable insights into gaps in training and areas requiring improvement. KAP frameworks are widely used in healthcare research to understand behaviors and design interventions [6]. While various KAP studies have been conducted globally, a standardized, validated questionnaire must still be adaptable to different healthcare settings.
Several KAP tools have been developed to assess HCWs’ readiness to manage occupational risks, yet many lack standardization and validation [7]. For instance, tools often fail to address specific occupational scenarios, such as managing sharp injuries or reporting incidents, leading to incomplete assessments. Furthermore, many studies use tools with limited psychometric evaluation, raising concerns about their reliability and applicability in diverse healthcare environments [8]. This underscores the need for robust, validated instruments that can provide accurate, actionable data for healthcare administrators and policymakers [7]. In Saudi Arabia, a rapidly growing healthcare sector coupled with a high prevalence of blood-borne diseases among patients necessitates a critical focus on the protection of HCWs [9,10]. The BBPs exposure in healthcare settings relies heavily on HCWs’ KAP. Despite the significant risk of occupational BBPs among HCWs, there is a lack of standardized, validated questionnaire tailored to assess HCWs’ KAP in Saudi Arabia [11]. While some studies have explored HCWs’ awareness and practices regarding occupational BBPs globally, most tools are either not validated, limited in scope, or not adaptable to the cultural and healthcare context of Saudi Arabia [12]. Furthermore, existing tools often fail to comprehensively capture the specific challenges, risks, and prevention strategies relevant to different healthcare settings within the country [11]. Therefore, the development, adaptation, and validation of a context-specific questionnaire are highly needed to provide a reliable and systematic method to assess HCWs’ KAP regarding occupational BBPs in Saudi Arabia. Such a validated questionnaire would be pivotal in enhancing HCWs’ safety, improving patient care outcomes, and reducing healthcare-associated infections. The present study aimed to develop and validate KAP questionnaire focused on occupational BBPs for HCWs in Saudi Arabia and to determine its reliability and validity in the local setting.
Materials and Methods
This study addresses the existing gaps by developing a validated KAP questionnaire specifically designed for assessing HCWs’ preparedness to manage occupational BBP risks. The tool’s comprehensive validation was tested to ensure its reliability and applicability in diverse healthcare contexts. By identifying gaps in KAP, this questionnaire can guide interventions to enhance infection control training and reduce occupational exposures, ultimately improving HCWs’ safety and patient care outcomes.
Study Design
A cross-sectional study was conducted to develop and validate the KAP questionnaire on occupational BBPs for HCWs in Saudi Arabia. The study involved a systematic approach to questionnaire design, content validation, pilot testing, and statistical analysis to ensure the tool’s reliability and validity in the local setting.
Phase 1
Questionnaire development: The KAP questionnaire was developed based on an extensive review of the literature, guidelines from health organizations (WHO, CDC), and expert input [13,14]. It comprised three domains: Knowledge (23 items) focused on awareness of BBPs, routes of transmission, prevention measures, and post-exposure protocols. Attitudes (10 items) assessed perceptions, willingness to follow infection control measures, and beliefs about workplace safety. Practices (20 items) evaluated adherence to safety protocols, use of personal protective equipment (PPE), and reporting of occupational exposures. Each domain contained items formatted as close-ended questions, using a mix of multiple-choice and 3(poor, moderate, and good).
Reviewing the KAP questionnaire using the Delphi technique: A panel of seven experts in different specialists and expertise (Table 1) was selected to refine the KAP questionnaire and to ensure content validity, relevance, clarity, and comprehensiveness and evaluate the questionnaire’s ability to effectively measure knowledge, attitude, and practice. The draft questionnaire and the detailed description of the questionnaire’s purpose, instructions for evaluating the questionnaire, and scoring system were sent to the panel for the initial review. Panelists were asked to score each item and provide qualitative feedback. Their scores and qualitative feedback summary were collected and accordingly, the questionnaire was amended (rewrite unclear items, add missing items, or remove redundant ones). Later, the amended questionnaire was redistributed to the same expert panel for consensus by sharing the revised questionnaire highlighting changes and asking panelists to re-evaluate and score the updated items. The questionnaire was finalized and the content validity index (CVI) for each item and overall questionnaire was calculated. CVI with a threshold of ≥0.8 was considered acceptable content validity.
Phase 2
Face validation: The draft questionnaire was subjected to a face validation process designed to determine whether the questionnaire items appear to measure what they are intended, and ensure the language and phrasing of the questions are clear, unambiguous, and easily understood by the target groups. Also, it confirms that the questions are suitable for the study objectives and resonates with the respondents’ experiences. In addition, it increases the likelihood of accurate and honest responses by ensuring that respondents find the questions logical and meaningful. Small group (n=22) HCWs at a secondary care hospital (Al-Miqat General Hospital, AL-Madinah AL-Munawara, Saudi Arabia) were randomly selected to evaluate the draft questionnaire’s feasibility, clarity, and response patterns. The sample was stratified by profession, department, and years of experience to ensure representativeness. The selected small group of individuals (representative of the target population) is asked to complete the questionnaire, record the time required to complete it, and provide feedback on the clarity of the content, language, wording, and overall structure. Their opinions regarding the clarity of the instructions and the comprehensibility of the questionnaire’s content were evaluated. The results were reviewed and discussed with the expert consultation.
Reliability testing: The questionnaire accurately, internal consistency, and all aspects of standard precautions to assess the HCWs’ KAP towards occupational BBPs were statistically measured using Cronbach’s Alpha and its reliability was calculated for each domain and the overall questionnaire. A value of ≥0.7 was considered acceptable.
Test-retest reliability: The panel-reviewed questionnaire was retested by the 22 HCWs, two weeks apart, to assess stability over time. Intra-class correlation coefficients (ICCs) were used to evaluate reliability, with values ≥0.75 considered satisfactory.
Construct and criterion validity testing: The questionnaire construct validity was performed using known-group comparisons to assess whether the questionnaire could differentiate between HCWs with varying levels of BBPs exposure. The questionnaire criterion validity was compared against a validated reference tool where available, or performance was measured against predefined benchmarks (training status or prior incidents of BBP exposure). The KAP questionnaire tool to evaluate HCWs’ participation in KAP related to BBPs was assessed, evaluated, and used.
Phase 3
Study area and population: King Fahad Hospital, AL-Madinah AL-Munawara, Saudi Arabia is a locally and internationally accredited hospital by CBAHI (Central Board for Accreditation of Healthcare Institutions) and Joint Commission International (JCI). It is classified as a tertiary, referral, teaching, and training hospital under the Ministry of Health (MOH). This hospital has a 500-bed capacity that caters to all adult critical, medical, and surgical sub-specialties and deals with emergencies. HCWs specialties (physicians, nurses, technicians, cleaners), who were currently working in the hospital are considered eligible for inclusion in the current field test study.
Target group: The target group was selected using a stratified sampling technique and was divided into distinct subgroups that share similar characteristics and a random sample then is drawn proportional to the size of each stratum. HCWs at risk of BBPs exposure, including physicians, nurses, technicians, and ancillary staff such as cleaners, were targeted.
Inclusion criteria: HCWs from the selected hospital with at least 12 months of experience in a healthcare setting who were directly or indirectly exposed to BBPs, and those who gave informed consent to participate were involved in this study.
Exclusion criteria: All HCWs on extended leave or those not directly involved in patient care as well as any health professional who works in an office and is not at high risk of blood contact or dealing with it, were excluded.
Sample size: A minimum sample size of 122 participants was calculated. Stratified random sampling ensured a proportional representation of job categories and departments.
Data Collection
The final version of the questionnaire was distributed electronically and in print to HCWs across multiple healthcare facilities. Demographic and occupational information was collected to examine associations with KAP scores.
Definitions of Scoring
The assessment of knowledge was conducted using an itemscale approach. Participants were awarded 1 point for each correct answer and 0 points for each incorrect answer. The overall level of knowledge was classified as poor (<50% correct answers), moderate (50-79% correct answers), and good (80-100% correct answers) [15].
The scale for assessing attitude used a five-point Likert-type scale (ranging from strongly disagree to strongly agree). Attitudes were classified as poor (<50% score), moderate (50-79% score), and Good (80-100% score). Respondents who scored 80% or more on attitude items were categorized as having a positive attitude. Those scoring less than 80% were categorized as having a negative attitude [15].
The assessment of practice was based on activities participants reported. They were given 1 point for each activity they always practiced and 0 points for other responses. The overall level of practice was classified as poor (<50% score), moderate (50-79% score), and good (80-100% score) [15].
Data Analysis
The collected data were entered, reviewed, and analyzed using SPSS version 29 statistical software. The systematic approach of data analysis was used to ensure that the developed KAP questionnaire was a reliable and valid tool for assessing HCWs’ preparedness and behaviors concerning occupational BBPs.
Descriptive Statistics
Demographic information, training courses on infection control, and history of needle sticks or sharp injuries were collected from all 112 participants using a questionnaire and were calculated and correlated. Frequencies and percentages were used to describe participant demographics and KAP scores.
Inferential Statistics
Fisher’s Exact Test and Chi-square tests were used to assess associations between participant characteristics and KAP scores. Multivariate regression analyses were conducted to identify predictors of good knowledge, positive attitudes, and safe practices.
Reliability and Validity Metrics
Cronbach’s Alpha for internal consistency, ICCs for test-retest reliability, and CVI for content validity were analyzed.
Ethical Considerations
The Institutional Review Board (IRB) of the General Directorate of Health Affairs in Madinah, under the Ministry of Health, Saudi Arabia, granted ethical approval (IRB log number 24-063, dated July 14, 2024). The study complied with the National Committee of Bioethics (NCBE) guidelines, ensuring participant rights, confidentiality, data integrity, and informed consent. We anonymized all participants’ responses and obtained their voluntary consent.
Results
Out of 122 selected candidates, 112 were respondents and answered the questionnaire questions, giving a 112(91.8 %) response rate.
Descriptive Statistics
The descriptive statistics and the socio-demographics among the studied personnel are shown in (Table 2). Most participants were aged between 31- 40 years 50(44.6%), followed by 41-50 years 34(30.4%) and 21-30 years 28(25.0%). Gender distribution was nearly even, with males comprising 58(51.8%) and females 54(48.2%). A majority were Saudi nationals 65(58.0%), while 47(42.0%) were non-Saudi. Job roles were evenly 56(50%) split between specialized and general roles. Departments included Emergency Room 26(23.2%), ICU 24(21.4%), Lab 22(19.6%), Operating Room 21(18.8%), and Ward 19(17.0%). Nurses formed the largest professional group 51(45.5%), followed by technicians 34(30.4%), physicians 17(15.2%), and cleaners 10(8.9%). More than half of the participants were graduates 58(51.8%), while 39(34.8%) were undergraduates and 15(13.4%) were postgraduates. Most personnel had worked for 1-5 years 31(27.7%), with fewer in the 6-10 years 23(20.5%), 11-15 years 26(23.2%), 16-20 years 21(18.8%), and >20 years 11(9.8%) categories. Only 19(17.0%) of the personnel had received training in infection control, while 93(83.0%) had not. Needle stick or sharp injuries were reported by 70(62.5%) of participants, indicating a significant occupational risk.
Almost 56(50.0%) exhibit moderate knowledge, a notable percentage of 43(38.4%) demonstrate good knowledge, but 13(11.6%) have poor knowledge. Most participants 59(52.7%) showed a moderate attitude, while 36(32.1%) displayed a good attitude and a smaller group 17(15.2%) exhibited a poor attitude. On the other hand, 46(41.1%) demonstrate good practices, while 53(47.3%) show moderate practices and 13(11.6%) fall into the poor practice category.
Association of KAP Scores with Characteristics
The results of the questionnaire internal consistency(reliability) were illustrated in (Table 3). Cronbach’s Alpha of domains and the whole questionnaire domains was significantly high. Higher values indicate that the items in a domain or the overall questionnaire consistently measure the same underlying construct. The table presents the reliability analysis for the knowledge, attitude, and practice (KAP) domains, as well as the entire questionnaire. The knowledge, attitude, and practices items respectively, demonstrate acceptable reliability (indicating moderate to good internal consistency), acceptable reliability (with moderate internal consistency), and exhibit high reliability (reflecting good internal consistency). The overall questionnaire KAP demonstrates excellent reliability, indicating a strong consistency across all items measuring knowledge, attitude, and practice.
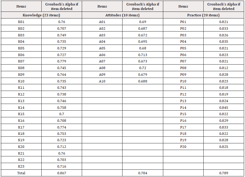
The results of the in-depth analysis of the internal consistency of individual items within each domain (knowledge, attitude, practice) and for the entire questionnaire are shown in (Table 4). Cronbach’s Alpha if an item deleted was comparable in individual domains and in the whole questionnaire domains. It explores how Cronbach’s Alpha would change if a specific item were removed from its respective domain.
Most knowledge domain(n=23) items have Cronbach’s Alpha values close to or slightly lower than the total value when deleted, indicating they are consistent with the knowledge domain’s overall construct. Removing items K02(0.707) and K15(0.700) would slightly improve internal consistency, suggesting these items may be less aligned with the domain compared to others. Other items, such as K01(0.760) and K21(0.760), have values very close to the total Alpha, supporting their alignment with the domain.
For the attitude domain(n=10) items, removing any item does not significantly alter the total Cronbach’s Alpha, indicating all items are relatively consistent with the domain. Item A08(0.720) has the highest Cronbach’s Alpha when deleted, suggesting it contributes the least to overall consistency. Items such as A03(0.672) and A07(0.673) contribute well to the domain.
The values of the practice’s domain (n=20) items when individual items are deleted vary slightly but remain close to the total Alpha, indicating strong consistency. Removing P14(0.845) would slightly improve the overall Alpha, suggesting it is less aligned with the rest of the items. Items such as P01(0.821) and P08(0.812) show strong alignment with the domain.
The Cronbach’s Alpha values overall questionnaire (KAP) is relatively stable across items in all three domains, showing that each item contributes well to the questionnaire’s reliability (Table 4).
Discussion
In the current study, a cross-sectional study was conducted to develop and validate 53-items KAP questionnaire on occupational BBPs for HCWs in Saudi Arabia. The results of the consistency, reliability, and validity test of the newly developed KAP questionnaire tool postulated that it is a robust tool for both research and practical applications, contributing to improved occupational safety and healthcare outcomes.
The socio-demographic and descriptive analysis of the healthcare personnel provides a detailed understanding of the workforce characteristics and their knowledge, attitudes, and practices (KAP) concerning infection control. These findings align closely with published data, offering insights into workforce trends and areas for improvement [16]. The age distribution of participants, primarily concentrated in the 31-40 age group 50(44.6%), followed by 41-50 years 34(30.4%) and 21-30 years 28(25.0%), reflects the predominance of mid-career professionals, consistent with global trends in healthcare [17]. This balance of youth and experience supports knowledge retention and adaptability in clinical environments. The nearly equal gender representation of 58(51.8%) males and 54(48.2%) females underscores strides towards gender equity, a trend observed in many healthcare systems worldwide [18,19]. However, professional or cultural norms may skew this balance in certain regions. The diversity in nationalities, with 65(58.0%) Saudi nationals and 47(42.0%) non-Saudis, highlights the reliance on expatriates in the Gulf Cooperation Council (GCC) countries. These mirrors published data from similar settings and underscore the need for infection control programs tailored to linguistically and culturally diverse workforces. The distribution of job roles equally (specialized and general) along with departmental representation, where the emergency room 26(23.2%) and ICU 24(21.4%) participants account for significant portions, aligns with global trends. KAP studies frequently highlight these departments due to their high exposure to occupational risks.
Nurses 51(45.5%) represented the largest professional group, consistent with their pivotal role in healthcare systems globally [20]. Educational attainment reveals that over half the participants were graduates 58(51.8%), while 39(34.8%) were undergraduates, and 15(13.4%) held postgraduate qualifications. This is in line with global trends where a graduate-level baseline education is common [21]. However, the relatively low postgraduate representation could hinder advanced expertise compared to high-income countries with larger proportions of postgraduate professionals. Work experience was concentrated in the 1-5 years category 31(27.7%), with a declining trend in longer experience categories, a pattern widely documented in healthcare workforce studies.
A significant gap was noted in infection control training, with only 19(17.0%) of participants having undergone such programs. This mirrors findings from developing and middle-income countries where structured training is often under-prioritized [22]. Similarly, the high prevalence of needle sticks or sharp injuries 70(62.5%) underscores occupational hazards, consistent with global data identifying these incidents as preventable with proper training and adherence to protocols [23].
In terms of KAP assessment, moderate knowledge was most common 56(50.0%), followed by good knowledge 43(38.4%), and poor knowledge 13(11.6%). These findings align with published studies that often report moderate awareness levels among healthcare workers, with knowledge gaps requiring targeted interventions [24]. Attitudes followed a similar pattern, with 59(52.7%) demonstrating moderate attitudes, 36(32.1%) good, and 17(15.2%) poor.
Poor attitudes are concerning as they can hinder translating knowledge into practice, an issue frequently highlighted in the literature. Practices showed a slight lag, with 46(41.1%) exhibiting good practices, 53(47.3%) moderate and 13(11.6%) poor. This discrepancy between knowledge and practice points to systemic barriers like insufficient resources and institutional support, as noted in comparable studies [25].
The internal consistency and reliability analysis of the KAP questionnaire yielded robust results, comparable to published data on similar tools [26]. High Cronbach’s Alpha values for the knowledge, attitude, and practice domains, as well as the overall questionnaire, indicate strong internal consistency. This underscores the tool’s effectiveness in measuring the intended constructs. Knowledge and practice domains exhibited moderate to high reliability, with slight room for refinement in specific items (e.g., K02, K15, and P14), as identified by the “Cronbach’s Alpha if item deleted” analysis. Such refinements align with psychometric evaluation practices documented in the literature [27].
The attitude domain demonstrated moderate reliability, with variability reflecting the subjective nature of attitudinal assessments. The overall questionnaire showed excellent reliability, with consistent Alpha values across items, validating its use for assessing KAP among healthcare personnel.
Strengths and Limitations
The robust adaptation and validation methods used to determine the validity and reliability of this questionnaire among the HCWs were a strength of this study. The 53-item questionnaire is also more comprehensive. However, this study is subject to certain limitations. The study included representative samples of HCWs from both public hospitals but only from the AL-Madinah AL-Munawara region in the Kingdom of Saudi Arabia. The study participants’ self-reported questionnaire served as the primary source of information collection, raising questions about the quality of the information they provided.
Conclusion
The internal consistency and reliability analysis of the KAP questionnaire demonstrate its robustness and suitability as a reliable tool for assessing healthcare workers’ infection control-related knowledge, attitudes, and practices. However, slight refinements to certain items may further enhance the tool’s accuracy and utility. Overall, the study highlights a clear need for targeted interventions to improve knowledge, foster positive attitudes, and promote better practices, ultimately aiming to enhance occupational safety and patient care quality in healthcare settings.
Acknowledgments
The contribution and collaboration of the healthcare personnel at King Fahad Hospital and Al-Miqat General Hospital, AL-Madinah AL-Munawara, Saudi Arabia are acknowledged.
Conflict of Interest
The authors declare that there is no competing interest.
Funding
All authors have declared that no financial support was received from any organization for the submitted work.
Data Availability Statement
The data that support the findings of this study are available.
Other Relationships
All authors have declared that no other relationships or activities could appear to have influenced the submitted work.
References
- Lee JB, Choi JS (2023) Epidemiology of occupational exposure to blood-borne viruses, postexposure prophylaxis and seroconversion over 10 years among healthcare workers. Journal of Hospital Infection 135(5): 18-27.
- Hewitt SE, Southard EP (2023) Management of bloodborne pathogen exposures in primary care: A quality improvement project. Journal of Patient Safety and Risk Management 28(4): 177-185.
- Ashmitha Rajan R, Pradeep MVM, Kaveri Palanisamy BK, Logaraj M, Anantharaman VV, et al. (2024) Needle Sticks Injuries in Lab Technicians: A Multi Centric Study. International Research Journal of Multidisciplinary Scope. (IRJMS) 5(4): 722-729.
- Asiri AAM, Al Rafdan TA, Asiri AA, Alsawaih FNM, Al Qahtani AMM, et al. (2024) Knowledge, Attitudes and practices Towards Infection Control among health care staff in Saudi Arabia. Journal of International Crisis and Risk Communication Research 7(10): 450-466.
- Yazid J, Yaakub RMR, binti Yusof S, Wilandika A (2023) Knowledge, Attitude, and Practices towards Needle-stick Injuries among Nurses in a Public Hospital, Malaysia. Environment Behaviour Proceedings Journal 8(24): 221-228.
- Puzhankara L, Karuveettil V, Janakiram C, Vasthare R, Srinivasan S, et al. (2024) Exploring medical and dental practitioner perspectives and developing a knowledge attitude and practice (KAP) evaluation tool for the common risk factor approach in managing non-communicable and periodontal diseases. BMC Oral Health 24(1): 1017.
- Zarei F, Dehghani A, Rezaei F, Kazemi A, Masoumi G (2024) Knowledge, attitude, and practice of Iranian health care workers about infodemic management: a cross-sectional descriptive study. BMC Health Services Research 24(1): 992.
- Dehghani A, Zarei F (2023) Design and psychometric properties of a tool to assess the knowledge, attitude and practice of health care workers for infodemic management (KAPIM-Tool). BMC Health Services Research 23(1): 839.
- Ibrahim NK, Omran DM, Noman GA, Babeer GA, Bandah ST, et al. (2019) Universal precautions needed for preventing blood-borne infections: Knowledge, attitude, and practices of health care workers at King Abdulaziz University Hospital, Jeddah, Saudi Arabia. Kuwait Medical Journal 51(3): 294-301.
- Saad AE, Jasli N (2024) Prevalence and factors contributing to needle stick injuries among healthcare workers at acute care hospital in central Saudi Arabia. Medical Science 28(150).
- Alrithi TYM, Alnames ZAM, mansoure mohmmed Haqawi S, Tarshi NYG, Ahmed AM (2024) Healthcare Workers’ Knowledge, Attitude And Practices Towards The Care For Patients With Type 2 Diabetes Mellitus In Saudi Arabia: Narrative Review. Journal of International Crisis and Risk Communication Research 7(9): 1799-1806.
- Alsabri MAH, Elsayed SM, Elshanbary AA, Zaazouee MS, Alqeeq, et al. (2024) Knowledge, Attitude and Perceptions of Healthcare Workers in Arab Countries Regarding Basic Life Support; a Systematic Review and Meta-Analysis. Archives of Academic Emergency Medicine 12(1): e32.
- World Health Organization (2024) Knowledge, attitudes, and practices (KAP) surveys during cholera vaccination campaigns: Guidance for Oral Cholera Vaccine Stockpile Campaigns. Working Group on Monitoring and Evaluation pp. 1- 41.
- Centers for Disease Control and Prevention (2024) Guide to Adapting and Using Knowledge, Attitudes, and Practices (KAP) Surveys for Public Health Emergencies CDC pp. 1-99.
- Abalkhail A, Al Imam MH, Elmosaad YM, Jaber MF, Hosis KA, et al. (2021). Knowledge, attitude, and practice of standard infection control precautions among health-care workers in a university hospital in Qassim, Saudi Arabia: A cross-sectional survey. International Journal of Environmental Research and Public Health 18(22): 11831.
- Khatrawi EM, Prajjwal P, Farhan M, Inban P, Gurha S, et al. (2023) Evaluating the knowledge, attitudes, and practices of healthcare workers regarding high‐risk nosocomial infections: A global cross‐sectional study. Health Science Reports 6(9): e1559.
- Nassirou Sabo H, Toudou Daouda M (2024). Assessment of knowledge, attitudes, and practices of occupational risks and diseases among healthcare providers of the Regional Hospital Center of Dosso, Niger. SAGE Open Medicine 12: 1-8.
- World Health Organization (2016) Global strategy on human resources for health: workforce 2030. Geneva: World Health Organization.
- Salsberg E, Richwine C, Westergaard S, Martinez MP, Oyeyemi T (2021) Estimation and comparison of current and future racial/ethnic representation in the US health care workforce. JAMA Network Open 4(3): e213789.
- Kurup C, Burston AS, Betihavas V, Jacob ER (2024) The perspectives of internationally qualified nurses regarding their specialty skill transition to Australia: A cross‐sectional survey. Journal of Advanced Nursing 80(5): 1868-1881.
- Frenk J, Chen L, Bhutta ZA, Cohen J, Crisp N (2010) Health professionals for a new century: transforming education to strengthen health systems in an interdependent world. The Lancet 376(9756): 1923-1958.
- Qureshi MO, Chughtai AA, Seale H (2022) Recommendations related to occupational infection prevention and control training to protect healthcare workers from infectious diseases: a scoping review of infection prevention and control guidelines. BMC Health Services Research 22(1): 272-283.
- Matsubara C, Sakisaka K, Sychareun V, Phensavanh A, Ali M (2017) Prevalence and risk factors of needle stick and sharp injury among tertiary hospital workers, Vientiane, Lao PDR. Journal of Occupational Health 59(6): 581-585.
- Keynejad R, Spagnolo J, Thornicroft G (2021) WHO Mental Health Gap Action Programme (mhGAP) intervention guide: updated systematic review on evidence and impact. BMJ Ment Health 24(3): 124-130.
- Alhumaid S, Al Mutair A, Al Alawi Z, Alsuliman M, Ahmed GY (2021) Knowledge of infection prevention and control among healthcare workers and factors influencing compliance: a systematic review. Antimicrobial Resistance Infection Control 10(1): 86-118.
- Azraii AB, Ramli AS, Ismail Z, Abdul Razak S, Badlishah Sham SF, et al. (2021) Validity and reliability of an adapted questionnaire measuring knowledge, awareness and practice regarding familial hypercholesterolemia among primary care physicians in Malaysia. BMC Cardiovascular Disorders 21(39): 1-17.
- Charette M, McKenna LG, Maheu Cadotte MA, Deschênes MF, et al. (2020) Measurement properties of scales assessing new graduate nurses' clinical competence: A systematic review of psychometric properties. International journal of nursing studies 110: 103734.
- Moghnieh R, Al Maani AS, Berro J, Ibrahim N, Attieh R, et al. (2023) Mapping of infection prevention and control education and training in some countries of the World Health Organization’s Eastern Mediterranean Region: current situation and future needs. Antimicrobial Resistance Infection Control 12(1): 90-102.
- Harun MGD, Anwar MMU, Sumon SA, Hassan MZ, Mohona, et al. (2022) Rationale and guidance for strengthening infection prevention and control measures and antimicrobial stewardship programs in Bangladesh: A study protocol. BMC Health Services Research 22(1): 1239.





We use cookies to ensure you get the best experience on our website.