Review Article
Creative Commons, CC-BY
Advances in Supported Synthesis of Oligosaccharides Using Thioglycoside Donors
*Corresponding author: prof. Dr. Nasser Thallaj Pharmaceutical chemistry and drug quality control Department, Faculty of Pharmacy, Al-Rachid privet University, Damascus, Syria. ORCID ID: 0000-0002-6279-768X.
Received: March 07, 2025; Published: May 23, 2025
DOI: 10.34297/AJBSR.2025.27.003528
Abstract
This review explores the synthesis of oligosaccharides using thioglycoside donors, emphasizing their significance in biological systems and their diverse structural properties. Oligosaccharides, essential components of glycosaminoglycans, play crucial roles in cellular communication, development, and immune responses.Their synthesis poses challenges due to the complexity of glycosidic bond formation and the need for precise stereochemical control. The utilization of thioglycosides as glycosyl donors has gained traction due to their stability and ease of preparation from monosaccharides. This article discusses key advancements in supported synthesis methodologies, which enhance the efficiency and yield of oligosaccharide production while minimizing purification challenges. We highlight the advantages of soluble supports and the incorporation of functional groups that facilitate conjugation with therapeutic agents or probes. Additionally, we examine the mechanisms of glycosylation reactions, including the role of protecting groups and activation strategies. The review underscores the promise of thioglycoside-based approaches in oligosaccharide synthesis, contributing to the burgeoning field of glyco-chemistry and its applications in medicine and biotechnology. By advancing these methodologies, researchers can improve the availability and functionality of oligosaccharides, paving the way for innovative solutions to pressing biological and therapeutic challenges.
Keywords: Oligosaccharides, Thioglycoside, Glycosylation, Supported synthesis, Ionic liquids, Stereochemistry, Biological applications
Introduction
Oligosaccharides are vital molecules that play crucial roles in biological systems and represent the most abundant group of biomolecules found in nature [1]. These compounds exhibit remarkable structural diversity, and their stereochemistry confers a wide range of properties [2]. Oligosaccharides can exist in both cyclic and acyclic forms, vary in size, and have different oxidation and re duction states, all of which contribute to their essential functions in numerous biological processes [3].
Among the key structural polysaccharides, cellulose and chitin are prominent examples. Cellulose serves as a fundamental component of plant cell walls, providing structural integrity and rigidity. Chitin, in contrast, is prevalent in invertebrates and fungi, constituting a major element of the exoskeletons of insects, arachnids, and crustaceans [4-8]. This polysaccharide comprises long chains of N-acetylglucosamine (GlcNAc) units linked by β-1,4 glycosidic bonds. When combined with calcium, chitin crystallizes into a rigid structure, forming the exoskeleton of crustaceans, which provides protection and support [8-11].
In bacteria, peptidoglycan serves as a crucial structural polysaccharide. It consists of N-acetylmuramic acid (MurNAc), which is formed from lactic acid and GlcNAc. Together, these monosaccharides form the backbone of peptidoglycan, a critical component of the bacterial cell wall [12-15]. The alternating GlcNAc and MurNAc units create polysaccharide chains that are cross-linked by peptides attached to the lactate residues of the MurNAc units [16-19]. This unique structure is essential for maintaining cell shape and integrity, offering resistance to osmotic pressure [20].
Beyond their structural roles, oligosaccharides are involved in various critical cellular mechanisms, such as fertilization, inflammation, immune response, and cell growth [21-26]. These biomolecules are present on the surfaces of most cells and facilitate essential biological functions through specific interactions with other biomolecules, including hormones, lectins, and antibodies [27]. This specificity allows for communication between cells, including interactions with pathogens such as viruses and bacteria [28-33].
β-glucans, another significant class of oligosaccharides, are composed entirely of glucose units linked by β-glycosidic bonds [34-37]. They can be found in the bran of cereal grains, the cell walls of baker’s yeast, and certain fungi. Isolated β-glucans from various sources exhibit distinct characteristics, including variations in glycosidic linkages, branching degrees, and molecular weights [38-41]. For example, cereal-derived β-glucans predominantly consist of β (1→3) and β (1→4) linkages, lacking β (1→6) bonds [42-47]. In contrast, β-glucans from yeast (Saccharomyces cerevisiae) are composed of linear β (1→3) backbones containing approximately thirty residues, along with branched long chains of glucose linked via β (1→6) bonds. Fungal β-glucans consist of long chains of glucose units connected by β (1→3) linkages, with short branched chains attached via β (1→6) bonds.These β-glucans are recognized as powerful immunostimulants, known for their ability to enhance immune responses by increasing the production of natural killer cells and improving their effectiveness in combating pathogens [48].
Mannans, which are found on the surface of fungi such as Candida albicans, illustrate another example of oligosaccharide structures. The cell wall of this yeast is primarily composed of mannose units linked by various configurations, including α (1→2), α (1→6), β (1→2), and α (1→3) connections [49]. Candida albicans is a natural inhabitant of mucosal flora and contributes to maintaining microbiota balance [50]. However, it can proliferate excessively, leading to candidiasis, a condition that primarily affects individuals with compromised immune systems [51-55].
The isolation of pure oligosaccharides in sufficient quantities for studying their properties and understanding their mechanisms can be a labor-intensive process, often necessitating chemical synthesis [55-59]. The significant role of these polysaccharides in biology and medicine has driven organic chemists to develop novel methods for synthesizing this class of molecules. Unlike other biopolymers, such as nucleic acids and proteins, whose activity depends on specific sequences of nucleotides or amino acids, oligosaccharides present a more complex scenario Figure 1. In addition to the sequence of monomers, factors such as functional groups, sugar conformations, and the stereoselective formation of glycosidic bonds must be taken into account [60,61].
This review will first explore the general characteristics of oligosaccharides, including their chemical structure, stereochemistry, and synthesis. Understanding these fundamental aspects is crucial for appreciating the complexities involved in oligosaccharide synthesis, which often includes time-consuming steps such as extraction, evaporation, and purification.These challenges ultimately lead to reduced availability of the desired oligosaccharides. Over the past two decades, significant advancements in chemical synthesis techniques have been developed to enhance availability, particularly through the introduction of supported synthesis methods [62].
This research represents an opportunity to develop an innovative soluble support method that adapts traditional oligosaccharide synthesis to a supported format. Beyond its practical advantages, this approach is designed to functionalize oligosaccharides with new chemical groups, allowing for the preparation of targets that are ready for conjugation with other molecules of interest, such as peptides, biotin, or fluorescent probes.Oligosaccharides are essential components of life, with diverse structures and significant biological roles. Their complex nature requires advanced synthetic methodologies to fully harness their potential in both research and therapeutic applications. As our understanding of oligosaccharides deepens, so too will the opportunities for innovation in their synthesis and application in various fields, including medicine and biotechnology [63]. The ongoing exploration of oligosaccharide chemistry will undoubtedly yield new insights and developments that enhance our ability to utilize these vital biomolecules effectively.
Monosaccharides and Oligosaccharides: Structure, Configuration, and Conformation
Linear Structure: Fischer Projection Model
Monosaccharides are compounds with the general formula Cₙ(H₂O)ₙ, which is why they were historically referred to as carbohydrates. These molecules are characterized by the presence of a reducing functional group, either an aldehyde or a ketone, along with at least one alcohol function. Monosaccharides that contain an aldehyde group are classified as aldoses, while those that contain a ketone group are known as ketoses. In the nomenclature for carbon atoms in aldoses, the carbon bearing the aldehyde group is designated as carbon 1. Conversely, in ketoses, the carbon that carries the ketone group is assigned the number 2 (Figure 2).
Stereoisomerism and Chirality
Glyceraldehyde is the smallest and simplest aldose, featuring one asymmetric carbon atom, which allows for the existence of two enantiomers. Emil Fischer selected glyceraldehyde as the reference compound for studying sugar configuration. He arbitrarily designated the symbol “D” for the dextrorotatory enantiomer, which is the form that rotates the plane of polarized light to the right (clockwise) [64]. All sugars derived from dextrorotatory glyceraldehyde are classified within the D series, while those derived from the levorotatory form belong to the L series (Figure 3).
Cyclic Structure: Hemiacetalization Reaction
The carbonyl group is reactive enough to allow a nearby alcohol to react and form a hemiacetal [65]. In the case of D-glucose, this intramolecular hemiacetalization can occur between carbon atoms C1 and C5 or C1 and C4, resulting in the formation of a six-membered heterocycle (pyranose) or a five-membered heterocycle (furanose) (Figure 4).
This cyclization renders carbon C1 asymmetric, leading to the formation of two new configurations of stereoisomers known as anomers, designated as α and β (with carbon C1 referred to as the anomeric carbon) [66,67]. The anomers are differentiated by the Greek letters α and β. The α form is characterized by the anomeric hydroxyl group (-OH) and the terminal CH₂OH group being on opposite sides of the ring, while the β form is identified when both groups are on the same side. In other words, in the Fischer projection, the β form occurs when the anomeric -OH group is on the same side as the -OH group involved in the glycosidic bond, whereas the α form is present when they are on opposite sides. For D-series sugars, the α form has the anomeric -OH group oriented downward, while the β form has it oriented upward (or to the left in a linear representation); for L-series sugars, this orientation is reversed (Figure 5).
Anomeric Effect and Mutarotation
Anomeric Effect
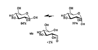
In solution, approximately two-thirds of D-glucose exists as β-Dglucopyranose, characterized by the hydroxyl group in an equatorial position, while about one-third is present as α-D-glucopyranose, with the hydroxyl group in an axial position [68]. Less than 1% of D-glucose is found in its open-chain form (Figure 6).
In many derivatives of D-glucose, a significant proportion of anomeric substituents may adopt an axial (α) position rather than the more thermodynamically stable equatorial (β) position; this phenomenon is known as the anomeric effect. The anomeric effect is a stereoelectronic effect that describes the tendency of adjacent heteroatom substituents in a cyclohexane-like ring to prefer an axial orientation over an equatorial one [69]. This preference arises because the equatorial configuration can lead to repulsive interactions between partially aligned dipoles involving the heteroatoms. In contrast, the dipoles in the axial configuration are oriented oppositely, resulting in a more stable and lower-energy state (Figure 7).
Mutarotation
Mutarotation refers to the change in the optical rotation of a solution as it transitions from a pure form (either α or β) to a mixture of both anomers (α + β). This phenomenon was first described by the French chemist Augustin-Pierre Dubrunfaut in 1846. During mutarotation, the specific rotation of the solution shifts until it reaches an equilibrium state that reflects the proportions of the α and β anomers present [70].
Structures of Selected Natural Monosaccharides and Oligosaccharides
Natural Monosaccharides
i. D-Glucose
D-Glucose (Figure 8) is a ubiquitous fuel in biological systems, primarily through glycolysis, which facilitates ATP production. It serves as a crucial energy source for a wide range of organisms, from bacteria to humans. Additionally, glucose is essential for protein synthesis and lipid metabolism, and it is the primary product of photosynthesis [71].
ii. D-Mannose
D-Mannose (Figure 8) is the C2 epimer of glucose, meaning its spatial configuration is identical to that of glucose except for the substituents at carbon 2, which are reversed. This monosaccharide is found in certain fruits and is predominantly associated with other sugars in the seeds of legumes within the plant kingdom [72].
iii. D-Galactose
D-Galactose (Figure 8) is the C4 epimer of glucose. It is present in milk in the form of lactose. When combined with mannose, it forms polysaccharides known as galactomannans, which are found in natural food gums such as guar gum, tara gum, and carob gum. Galactomannans are plant fibers prevalent in many seeds; they are soluble, low in calories, and serve as sugar reserves during germination [73].
iv. D-Glucosamine
D-Glucosamine (Figure 8) is a significant component of several polysaccharides, most notably chitin, which is a major constituent of the exoskeletons of insects and crustaceans [73].
Polysaccharides
In nature, most monosaccharides are linked together to form oligosaccharides (comprising 3 to 9 monosaccharides) or polysaccharides (consisting of more than 10 monosaccharides). They can also be covalently attached to peptides or proteins, resulting in glycoconjugates. This process of “assembly” of sugars is known as glycosylation, which occurs at the anomeric carbon and leads to the formation of glycosidic bonds-connections that link one saccharide to another molecular group, whether saccharide or non-saccharide [74-77].
Numerous syntheses of natural oligosaccharides have been reported in the literature to aid in the study and understanding of various pathologies. The structures illustrated in Figure 9 provide some examples. Structure A (Figure 9) represents an antigenic tetrasaccharide found in the parasite Leishmania, the causative agent of leishmaniasis.Structure B (Figure 9) is a synthesized tetramannoside, characterized by α (1-2) linkages, which are present in the cell wall of Candida albicans, a fungus responsible for candidiasis. Finally, synthesized pentasaccharide C (Figure 9) is located on the cell surface of Klebsiella pneumoniae, a bacterium associated with nosocomial pneumonia [78-82].
All of these oligosaccharide targets represent just a few examples among the multitude of compounds described in the literature. However, factors such as the control of glycosidic bond stereochemistry must be considered, as failure to do so may result in a molecule with completely opposite or inactive effects relative to the desired outcome.The synthesis of oligosaccharides is thus more complex than that of other biopolymers (such as peptides and nucleic acids) because, in addition to the sequence of monomers, it also depends on the conformation and stereochemistry of the glycosidic linkages (Figure 10).
Figure 10: Chemical structure of natural biopolymers / importance of control of stereochemistry in glycochemistry.
The control of the stereochemistry of glycosidic linkages is often crucial to numerous biological processes. The two anomers exhibit distinct spatial configurations and, consequently, significantly different biological activities. Classic examples include cellulose and starch, which share the same glucose sequence but differ in their anomeric forms [80].
General Aspects of Oligosaccharide Synthesis
The chemical synthesis (excluding enzymatic methods not covered in this manuscript) of oligosaccharides is based on the principle of glycosylation, leading to the formation of glycosidic bonds. This reaction involves a so-called glycosyl donor (acting as the electrophile) and a glycosyl acceptor (acting as the nucleophile) [81]. The donor, typically a sugar, features a leaving group at its anomeric position, while the acceptor (which can be a sugar, peptide, or other molecule) possesses a nucleophilic group such as an alcohol or amine. The reaction is usually catalyzed by a promoter that activates and facilitates the departure of the leaving group (Figure 11). This process represents a nucleophilic substitution, which can proceed via either an SN1 or SN2 mechanism.
The synthesis of disaccharides and oligosaccharides involves the linkage of two polyfunctional compounds. This process requires masking the reactivity of hydroxyl groups with protecting groups to avoid generating a mixture of isomers that is challenging to purify. For instance, D-glucose has four hydroxyl groups (excluding the anomeric hydroxyl) that can participate in glycosylation [83]. When glycosylating two glucose substrates and considering the potential formation of both α and β anomers, a total of eight isomers can be produced as a result of this reaction (Figure 12).
The glycosidic bond can be formed in two distinct ways, depending on whether the protecting group at position 2 participates in the reaction.
Formation of the Glycosidic Bond Without Participation from Position 2
In this scenario, an activator facilitates the departure of the leaving group, resulting in the formation of a glycosyl cation. This cation is intramolecularly stabilized by the lone pair of electrons on the oxygen atom, leading to the formation of an oxonium ion.
The anomeric carbon is then sp² hybridized, allowing for nucleophilic attack from both the upper (trans) face for D-glucose donors (Figure 13, Pathway a) and the lower (cis) face (Figure 13, Pathway b).
Although the α product is thermodynamically favored due to the anomeric effect, a significant amount of the kinetic β product is often obtained because of the irreversible nature of glycosylation. Various factors can influence the outcomes of glycosylation, including temperature (which favors an SN2 mechanism), protecting groups (an ester at position O-6 can participate and promote the α anomer), the choice of solvent (a nucleophilic solvent like ether or acetonitrile may lead to intermediates that enhance selectivity), and the nature of the leaving groups [84] (Figure 13).
Formation of the Glycosidic Bond with Participation from Position 2
1,2-trans glycosidic linkages can be formed stereoselectively with the participation of the substituent at position 2, typically an acyl group such as an O-acetyl (Ac), O-benzoyl (Bz), or N-phthalimide (Npht). These glycosylations occur via a bicyclic acyloxonium ion intermediate [85]. This acyloxonium ion is generated after the departure of the leaving group and is stabilized intramolecularly by the glycosyl cation. In the case of glucose, nucleophilic attack (by an alcohol, amine, or glycosyl donor) occurs exclusively from the upper face, facilitating the stereoselective formation of a 1,2-trans glycosidic bond. However, a notable amount of 1,2-cis glycoside (α product) may also form, particularly when less reactive alcohols are employed or due to the low nucleophilicity of the participating group at position 2. In this instance, glycosylation occurs through the oxonium ion intermediate via pathways a and b, resulting in a mixture of 1,2-trans glycosides (β product) and 1,2-cis glycosides (α product) (Figure 14).
Reactivity of Glycosyl Donors and Acceptors: Importance of Protecting Groups and the “Armed”/”Disarmed” Concept
The optimal control of stereoselectivity in glycosidic bond formation is achieved through the participation of the protecting group at C-2, which directly facilitates the formation of 1,2-trans products. Other protecting groups can also influence the departure of the leaving group, a phenomenon referred to as the “armed” or “disarmed” effect. The concept of armed versus disarmed glycosyl donors, introduced by Fraser-Reid, highlights the increased reactivity of benzyl donors compared to benzoyl donors [86].
In the case of benzylated armed donors, stabilization and departure of the leaving group are favoured through the oxonium intermediate, which benefits from the non-bonding pair of electrons on the oxygen atom. Conversely, for per-benzoylated derivatives, the reactivity is significantly diminished due to the electron-withdrawing effects of the substituents at C-4 and C-6. In this scenario, the acyloxonium intermediate is stabilized by the acyl group at position 2 Figure 15.
The reactivity of the acceptor is influenced by several factors, including the nucleophilicity of the hydroxyl group, its spatial orientation (with equatorial positions being more reactive than axial ones due to reduced steric hindrance), the presence of other protecting groups within the molecule, and steric crowding. Generally, electron-withdrawing groups tend to decrease the reactivity of the acceptor, consistently aligning with the armed/disarmed concept [87].
Glycosyl Donors Commonly Used
The synthesis methods for oligosaccharides typically involve the reaction between an alcohol and a glycosyl donor. These reactions are generally facilitated by a promoter that enhances the departure of the leaving group attached to the anomeric carbon of the donor. Yang and Yu have compiled a comprehensive list of the primary types of glycosyl donors employed in the total synthesis of O-glycoside complexes over the past two decades. Among these, they identified glycosyl bromides, fluorides, and iodides, trichloroacetimidates, N-phenyl trifluoroacetimidates, thioglycosides, sulfoxides, heteroaryl thioglycosides, hydroxylated sugars, O-acetates, ortho-alkynylbenzoates, glycosyl phosphates, glycals, and pyranones. Fig 16 illustrates the structures of the various glycosyl donors mentioned earlier, along with their associated promoters [88] (Figure 16).
There are numerous glycosyl donors, each with its own activation mode, including metal salts, acidic or basic conditions, and halonium activation. Among the various donors listed in the previous table, this manuscript will focus on trichloroacetimidate donors and thioglycoside donors.
Trichloroacetimidate donors are recognized as some of the most popular choices in the synthesis of complex glycosides. Thioglycoside donors are also widely utilized in oligosaccharide synthesis due to their numerous advantages compared to other types of donors.
Trichloroacetimidate Donors
Trichloroacetimidate compounds were introduced in 1980. They are synthesized by reacting the hemiacetal form of a monosaccharide with trichloroacetonitrile [89]. Nitriles are known to undergo nucleophilic attack by alcohols at the triple bond in the presence of bases, leading to the formation of O-imidates. These imidates exhibit considerable stability at 0 °C and can be isolated for further use Figure 17.
Trichloroacetimidate donors are activated under mild conditions, typically requiring catalytic amounts of acidic agents such as TMSOTf or BF3·OEt2. This activation results in the formation of an oxonium ion (or acyloxonium ion if an ester-type participating group is present), which then reacts with the alcohol of the acceptor [90]. The proton released during the glycosidic bond formation interacts with the leaving group, leading to the generation of a stable and non-basic trichloroacetamide that drives the reaction forward. However, the lipophilic nature of this amide can complicate its removal from the crude reaction mixture. Impurities from the trichloroacetamide may be difficult to detect, as their identification by ^1H NMR is hindered due to the absence of protons. Currently, there are no reported procedures for removing these amide by-products, aside from column chromatography Figure 18.
An undesirable rearrangement catalyzed in acidic conditions is also known to convert the trichloroacetimidate donor into N-trichloroacetylglycosylamine (Figure 19).
More recently, N-phenyl trifluoroacetimidates have been developed as an alternative, particularly resulting in fewer side reactions [91]. These donors are stable and can be stored for several weeks at 4 °C. N-phenyl trifluoroacetimidate donors that are peracetylated, perbenzoylated, and perbenzylated can be easily prepared from the anomeric hydroxyl group in the presence of K₂CO₃ in DCM12 (Figure 20).
Thioglycoside Donors
Advantages of Thioglycoside Donors
The first glycosylation protocol utilizing a thioglycoside as a donor was published in 1973. Since then, thioglycosides have become commonly used glycosyl donors in the synthesis of a wide variety of glycosidic linkages [92]. A study conducted in 1995 involving 734 glycosidic linkages indicated that approximately 24% of the donors employed were thioglycosides. This trend is believed to have persisted, as certain groups of glycochemists continue to prefer these donors for several reasons:
i. Thioglycosides are relatively easy to prepare from per-acetylated monosaccharides. The reaction is carried out in the presence of a Lewis acid, which activates the anomeric group, allowing for straightforward substitution by a thiol to yield the desired thioglycoside Figure 21.
Thioglycosides exhibit stability under a wide range of operational conditions, including alkylation, acylation, and both acidic and basic environments. They can be activated under mild conditions that do not interfere with other substrates involved in the reactions. The thioacetal functionality serves both as an anomeric protecting group and as an effective leaving group. Although thioglycosides are typically less reactive than imidates, the latter require activation under basic conditions and the introduction of more robust protecting groups (such as acetates or silyl groups), leading to additional synthetic steps [93].
These characteristics make thioglycosides well-suited for use in chemoselective, orthogonal, and iterative glycosylation strategies. a. In a chemoselective glycosylation, a highly reactive thioglycoside is condensed with a less reactive thioglycoside to produce a new thioglycoside that can be immediately utilized in another glycosylation event.
b. An orthogonal condensation employs two glycosides with different anomeric leaving groups (for example, an aryl/alkyl sulfide and a fluoride), which remain mutually stable under the conditions used to activate the other leaving group.
c. Thioglycosides can also be used iteratively in the construction of oligosaccharides. In this process, a precursor thioglycoside is employed to elongate the oligosaccharide using a single set of glycosylation conditions that are independent of the coupling partners Figure 22.
Figure 22: Chemoselective (case A), orthogonal (case B), and iterative (case C) glycosylation strategy using thioglycosides.
d. Thioglycosides offer the advantage of serving a dual function as both an anomeric protecting group and an effective leaving group. They can be readily converted into other glycosyl donors, such as bromides, fluorides, or trichloroacetimidates [94]. This conversion can be employed as an initial or later step, depending on the intended synthetic strategies, the reactivity challenges encountered, or the incompatibility of the substrates involved Figure 23.
Finally, it is important to note that thioglycosides are highly stable compounds compared to other donors (such as imidates and halides) and can be stored for several years at room temperature without degradation [95].
Disadvantages of Thioglycoside Donors
The two primary disadvantages of thioglycosides are the unpleasant odor and/or toxicity of the sulfur-containing precursors used in their synthesis [96]. The use of odorless thiols can help mitigate these issues. Among the odorless thiols reported in the synthesis of thioglycosides are 4-methylbenzenethiol, 1-dodecanethiol (C12), 1-octadecanethiol (C17), 1-adamantanethiol, p-alkyl and p-alkoxythiophenols, methylthiosalicylate, and 2-methyl-5-tert-butylthiophenol. A key parameter for achieving odorless thiols is their high boiling point and low volatility Figure 24.
This thiol was developed in the Biomolecules Laboratory approximately ten years ago. It is now utilized by other research groups and has also been employed within the laboratory for the synthesis of an antigenic oligosaccharide present on the surface of Aspergillus fumigatus, the fungus responsible for aspergillosis. Additionally, this thiol facilitated the synthesis of another oligosaccharide found in the cell wall of Candida albicans, a fungus associated with candidiasis, as mentioned earlier in this manuscript [97].
Promoters Used for Thioglycoside Activation
Thioglycosides must be activated under mild and specific conditions to avoid altering other compounds involved in the reactions. Numerous promoters have been developed since the introduction of alkyl/phenyl 1-thioglycosides. All these promoters are capable of generating thiophile species and can be classified into four categories: metal salts (MX), halonium reagents ([Halonium]+X-), organosulfur reagents ([S+]X-), and single-electron transfer (SET) methods (Figure 25).
Thiophile Metal Salts
Thiophile metals, such as various mercury (Hg²⁺), copper (Cu²⁺), and silver (Ag⁺) salts, were among the first promoters used for the activation of thioglycosides. However, these heavy metals are toxic and difficult to remove from reaction mixtures. Additionally, a stoichiometric amount of metal is required for glycosylation, and heterogeneous conditions can complicate the handling and reproducibility of reactions. Consequently, these metals are now only occasionally employed as promoters for thioglycosides [98].
Organosulfur Electrophiles
Organosulfur reagents represent another group of widely used thioglycoside promoters today. In 1986, Fügedi and Garegg introduced dimethyl(thiomethyl)sulfonium triflate (DMTST), which is formed from the reaction between methyl triflate (TfOMe) and dimethyl sulfide (Figure 26).
Figure 26: formation du promoteur dimethyl(thiomethyl)sulfonium triflate (DMTST) pour l’activation des thioglycosides.
It is a powerful promoter; however, it is also toxic due to the methylating agent TfOMe and the unpleasant odor of dimethyldisulfide. The combination of sulfinyl derivatives with triflic anhydride (Tf₂O), developed in the 2000s, is one of the most efficient methods for activating thioglycosides using thiophile promoters [99]. This approach is particularly effective for converting thioglycosides into glycosyl triflate intermediates, facilitating the formation of various glycosidic linkages. The activation occurs at very low temperatures Figure 27.
Single Electron Transfer (SET) Methods
The oxidative activation of thioglycosides via electron transfer was described in 1990. The oxidation of a thiophenylglycoside (Ph-S-R) generates the cationic radical (Ph-S-R)⁺, which produces a thiyl radical (PhS•) and the oxocarbenium intermediate (R⁺) necessary for glycosylation. Several electron transfer reagents, such as tris(4-bromophenyl)aminium hexachloroantimonate [(p-BrPh)₃N⁺·SbCl₆⁻] (TBPA⁺·SbCl₆⁻) and the photochemical radical acceptor system 2,3-dichloro-5,6-dicyano-1,4-benzoquinone (DDQ) under irradiation, have since been utilized for the activation of thioglycosides Figure 28.
Halonium Species
Halonium species, such as bromonium and iodonium, are also thiophile entities that activate thioglycosides. The first thioglycoside activated by a bromonium ion was derived from N-bromosuccinimide (NBS) [99]. Activation of thioglycosides using an iodonium species occurs with the N-iodosuccinimide/triflic acid (NIS/ TfOH) or N-iodosuccinimide/silver triflate (NIS/AgOTf) systems. This mode of activation represented a significant advancement and remains one of the most widely used methods for thioglycoside activation today Figure 29.
Figure 29: Method of activation of thioglycosides by the N-halogenosuccinimide/triflate derivatives system.
However, these thiophile promoters can add to π bonds and are generally incompatible with alkenes and/or alkynes. This limitation restricts their application in syntheses involving double or triple bonds [100].
The derivatives mentioned earlier belong to four major categories of thioglycoside promoters. Since the first glycosidic bond formation from a thioglycoside in 1973, by 2015, a total of 66 promoters derived from metals, halonium, organosulfur compounds, and reducing agents have been identified, often requiring the use of toxic compounds for their preparation. Additionally, some of these compounds may be excessively electrophilic, rendering them unsuitable for use with other nucleophilic substrates. Consequently, numerous promoters have been developed to enhance compatibility with various chemical functionalities [101-106]. One notable example is the thiophile promoter triphenylbismuth ditriflate (Ph₃Bi(OTf)₂) with propanethiol as an additive, developed by Pohl. This promoter offers the advantage of facilitating glycosylation of unactivated donors with fluorinated alkyl chains that possess unsaturation (Figure 30).
Another notable promoter that has been developed is N-(phenylthio)- ε-caprolactam. This compound enables the glycosylation of phenols, which are typically challenging to glycosylate due to the nucleophilic nature of the aromatic ring. Additionally, it helps prevent the addition of electrophilic species to π bonds, thereby enhancing the selectivity and efficiency of glycosylation reactions involving these substrates (Figure 31).
Other disadvantages, such as the decomposition of promoters, have prompted the development of more stable compounds. For example, the widely used N-iodosuccinimide (NIS) must be stored at 0 °C, under nitrogen, and protected from light and moisture to prevent degradation [106-112]. Bennett developed the triflimide salt of phenyl(trifluoroethyl)iodonium, which has shown excellent glycosylation results. This salt has the advantage of being stable for up to five days at room temperature and can be stored for more than six months in a refrigerator (Figure 32).
Secondary Reactions Associated with Thioglycosides
Despite the advantages offered by thioglycosides, there are three secondary reactions, two of which are specific to thioglycosides.
Hydrolysis
An extremely common secondary reaction observed in glycosylation processes is the hydrolysis of the donor into the corresponding hemiacetal, regardless of the donor used (including thioglycosides, trichloroacetimidates, halides, etc.) (Figure 33).
Hydrolysis results from the reaction between the activated donor and water present in the reaction mixture, which may originate from moisture in the solvent or the atmosphere. In most cases, the undesired hydrolysis of the donor can be significantly reduced by conducting the glycosylation reaction under anhydrous conditions, such as using dehydrated solvents and molecular sieves [113-120].
Aglycone Transfer
For thioglycosides with a free alcohol function, it is possible for the thioglycoside acceptor to react with glycosyl donors, such as trichloroacetimidates, halides, and sulfoxides. In many instances, the sulfide acts as a protective group at the anomeric position, allowing the resulting thioglycoside to be activated and serve as a donor for subsequent glycosylation reactions, a strategy known as orthogonal synthesis. Bundle was the first to employ this strategy in the synthesis of a dirhamnoside. In this approach, the authors reacted a bromide donor with a thioglycoside acceptor under Koenigs-Knorr conditions. The thioglycoside resulting from the aglycone transfer was formed and isolated as one of the byproducts of this reaction, ultimately leading to the synthesis of the dirhamnoside through a different synthetic pathway (Figure 34).
This type of transglycosylation involving thioglycosides is now well established and can be effectively controlled based on the protecting groups employed. For instance, electron-withdrawing “deactivating” groups positioned on the acceptor will hinder aglycone transfer. Additionally, the substituent attached to the sulfur atom can also influence aglycone transfer. For example, in the synthesis of oligofucosides, Toshima observed that replacing the ethyl thioglycoside acceptor with a more sterically hindered acceptor, such as 2,6-dimethylthiophenyl glycoside, eliminated the occurrence of aglycone transfer (Figure 35).
Secondary Reactions Related to Promoters
The third type of secondary reaction encountered when using thioglycosides stems from the reactivity of the promoters utilized in glycosylation. The significance of undesirable reactions associated with these promoters can vary depending on the reactivity of both the thioglycoside and the acceptor, following the “armed/ unarmed” concept. While these reactions are predictable, some literature examples lack clear explanations for the observed secondary reactions. For instance, a researcher was unable to facilitate the reaction between a trisaccharide donor and a trisaccharide acceptor despite employing NIS/Tf (OH) as promoters.It was noted that N-succinyl glycoside, a common byproduct in glycosylations involving low-reactivity acceptors in the presence of NIS, was formed [121-126].
To address this issue, the researcher chose DMTST as an alternative promoter. Although DMTST is less reactive than NIS and is not suitable for low-reactivity donors, it does not produce nucleophiles that could interfere with glycosylation. This promoter is generally used to prevent the formation of N-succinyl glycoside. Nevertheless, in this case, the use of DMTST also failed to produce the anticipated hexasaccharide. (Figure 36).
The use of electrophilic promoters can also lead to the formation of byproducts. In the synthesis of a disaccharide using a 4-methoxyphenyl glycoside as the acceptor and a thioglycoside as the donor, Li employed two systems generating halonium ions as promoters, one with NBS and the other with NIS. The disaccharide was successfully obtained; however, bromination occurred on the p-methoxyphenyl aglycone due to the action of NBS. In contrast, iodination did not take place when NIS was used (Figure 37).
Based on the previously described work, it is clear that the formation of a glycosidic bond is not a simple nucleophilic substitution. Instead, it is influenced by long-range electronic effects, the participation of protecting groups (due to the highly cationic nature of the intermediate), and significant steric effects arising from bulky protecting groups. As a result, one cannot rely on a generic protocol; rather, optimization of all parameters-including the choice of leaving group, promoter, and compatible protecting groups-is essential. Once these parameters are established, the construction of the oligosaccharide involves a lengthy multi-step synthesis cycle that continues until the desired oligosaccharide is achieved. This process becomes increasingly inefficient as the length of the oligosaccharide chain increases, leading to overall poor yields and a reduction in the available quantity of the oligosaccharide. Over the past two decades, significant advancements in chemical synthesis have been made to enhance availability, particularly with the advent of supported synthesis techniques. Supported synthesis is highly attractive as it enables rapid oligosaccharide synthesis without the need for chromatography and characterization of intermediates. Another advantage of supported oligosaccharide synthesis is the ease of removing excess reagents, which can be accomplished by filtration if the support is insoluble, or by extraction or precipitation if a soluble support is used [125-130].
Various Supports Used in Oligosaccharide Synthesis
Multi-step synthesis has now become a well-established science, with a vast number of molecules available through chemical synthesis. However, this process can be hindered by separation issues, making the purification of products nearly impossible and leading to significant challenges. The use of solid supports has become a popular tool for synthesizing biopolymers such as peptides, DNA, RNA, and more recently, oligosaccharides. Unlike solid supports, where reactions occur at the interface between a solid surface and solution, soluble supports allow for homogeneous phase reactions, which should enhance their effectiveness. Although advantageous in terms of purity and yield, solution-phase supported synthesis is less known and less standardized [127].
Solid Support
Introduced in 1963, solid-phase synthesis was not widely adopted in organic synthesis until the 1990s. This method involves a support made of small, insoluble polymer beads that are inert under the reaction conditions. These polymers swell in the solvents used (such as DCM, toluene, DMF, and THF), ensuring good penetration of reagents. One partner is covalently attached to these beads, while the second partner is added in solution, often in excess [128]. The product of the reaction remains bound to the insoluble polymer, allowing for easy separation from excess reagents and solvents by simple filtration. This process can be repeated until the final molecule is assembled. The bond connecting the product to the polymer is then cleaved, and the reaction product is recovered in the filtrate. The simplicity of this method, which facilitates automation, has made it a valuable tool in both classical combinatorial chemistry and parallel synthesis (Figure 38).
Initially developed for peptide synthesis, resins were soon adapted for oligosaccharide synthesis. The first solid-phase synthesis of these biomolecules was published by Fréchet and Schuerch. This synthesis was performed on a copolymer of chloromethylated polystyrene and divinylbenzene. These beads, cross-linked with 1% divinylbenzene, have been widely used in all areas of supported synthesis since their introduction by Merrifield [129]. The high degree of functionalization and compatibility with numerous reactions have made polystyrene-based resins the most commonly used today. Various solid supports with differing swelling characteristics have been explored since then; for example, polystyrene grafted with various lengths of Polyethylene Glycol (PEG) groups led to the development of Tentagel resins (Figure 39, resine B).
There are two main strategies employed for the solid-phase synthesis of oligosaccharides. In the first approach (Figure 40, pathway A), the donor can be directly attached to the polymer. Following the glycosylation reaction, the temporary group on the acceptor is transformed into an appropriate leaving group, allowing for the repetition of chain elongation steps. However, a significant drawback of this method is the nature of the donor linked to the polymer. Glycosyl donors are much more prone to secondary reactions than acceptors. A donor that has undergone a secondary reaction or has simply been hydrolyzed cannot participate in further chain elongation [130].
In the alternative approach (Figure 40, pathway B), the polymer serves as the acceptor, while one or multiple donors must be synthesized and separated beforehand. The donor must possess permanent protecting groups (PPGs) that remain stable throughout the synthesis, as well as temporary protecting groups (TPGs) that will become acceptors after deprotection. At the end of the solid- phase synthesis, the bond connecting the first sugar to the polymer is cleaved to yield the desired oligosaccharide. This approach is the most commonly used but requires highly reactive monosaccharide donors in solution to enhance the likelihood of glycosidic bond formation with the solid phase (Figure 40).
Spacer Arms or Linkers
Before attaching the desired substrate to a solid support, it is often necessary to introduce a spacer arm or linker. If the active site is directly grafted onto the polymer backbone, its accessibility and reactivity may be hindered by the steric hindrance of the polymer. The introduction of a spacer arm allows for the separation of the supported reactive site from the polymer network. This preparation of a support equipped with a linker is essential in oligosaccharide synthesis due to the high molecular weight and steric bulk of the protected donors (Figure 41).
Typically, a spacer arm consists of a more or less functionalized linear chain that must be compatible with solvents that allow for the swelling of the polymer network and chemically inert with respect to glycosylation reactions.
To introduce this spacer arm onto the polymer, a carbon chain with two different functional groups is required. One of these reactive functions facilitates grafting onto the polymer through the formation of a stable covalent bond (such as carbon-carbon, ether, or thioether). The second function is used to attach the substrate to the resin via a more sensitive chemical functionality, allowing for the cleavage of the modified substrate while remaining resistant to chemical transformations.
The linker plays a central role in solid-phase oligosaccharide synthesis. Due to its labile nature, the reactivity of the linker must be considered to ensure the orthogonality of all protecting groups involved during the various synthesis stages.
Example of Solid-Phase Synthesized Oligosaccharide
Since the development of a linker in 2002 for the synthesis of a cleavable hexasaccharide, a new wave of linkers has emerged, which can be cleaved through metathesis, hydrogenation, or photochemistry. These linkers offer the advantage of generating a new functional group upon cleavage, enabling the functionalization of the oligosaccharide with a marker (such as biotin, peptide, or fluorescent probe) for subsequent biological studies (Figure 42).
The oligosaccharide depicted in Figure 42 (structure D) was synthesized by Seeberger using a thioethyl glycoside donor as the elongation block and the NIS/Tf(OH) system as the promoter. Thioglycosides are indeed suitable for the synthesis of long oligosaccharide chains on solid supports. However, the choice of substituent attached to the sulfur atom can significantly influence reactivity. A study published in 2013 demonstrated that thioglycosides derived from the non-odorous 2-methyl-5-tert-butylphenylthiol (HSMbp) were not suitable for long sequence syntheses on solid supports.
The assembly of β (1→3) glucans was achieved using three equivalents of the thioglycoside in the presence of NIS/Tf (OH), involving three cycles of repetition for each coupling. Nevertheless, attempts to synthesize either the linear tetrasaccharide or longer glucans were unsuccessful. In all cases, the longest structure detected by ESI-MS was a trisaccharide (Figure 43).
Figure 43: Supported synthesis of a β (1 →3) glucan tetrasaccharide incompatible with a thioglycoside donor.
The HPLC chromatograms of the crude products corresponded to those from the synthesis of the trisaccharide, leading to the abandonment of that approach. It was hypothesized that the benzylidene, combined with the steric hindrance of other protecting groups, induced a conformational distortion in the thioglycoside donor, preventing chain elongation beyond the trisaccharide stage. To enhance reactivity, the thioglycoside donor was modified by replacing the rigid benzylidene group with benzyl groups. Additionally, the anomeric leaving group of the thioglycoside was substituted with the more reactive dibutyl phosphate. Through this process, Seeberger successfully synthesized a β (1→3) glucan dodecasaccharide in 56 hours, achieving an average yield of 88% per step (Figure 44).
HPLC-Assisted Synthesis of Oligosaccharides
In 2012, a new experimental system was developed based on HPLC technology. In this setup, the support used is a glass column filled with TentaGel-NH2 resin beads. The column is connected to the HPLC system, which comprises a piston pump, a UV detector, and a computer that controls the device via standard HPLC management software.
The glycosyl acceptor is pre-coupled to the resin before it is inserted into the column. Two different solutions are then prepared: one containing the trichloroacetimidate donor and the other containing the trimethylsilyl triflate (TMSOTf). These two solutions are mixed at the pump head, and the resulting activated donor is delivered into the column. The system is then flushed with a solvent, leaving the resin clean with the attached disaccharide, which is elongated through cycles of deprotection and glycosylation Figure 45.
A supported synthesis of a pentasaccharide was successfully achieved. The compound was subsequently cleaved from the solid support using a recirculating solution of sodium methoxide in a methanol-dichloromethane mixture. Following acetylation, the pentasaccharide was obtained with a yield of 62% over a period of 7 hours (Figure 46).
This HPLC-assisted supported synthesis approach marked a significant advancement in oligosaccharide synthesis. The initial application demonstrated its potential in 2013, and by 2020, the method was refined to enhance the synthesis process. The glycosyl acceptor is conjugated to the resin before it is introduced into a glass column and connected to the HPLC system.
In contrast to previous work, multiple HPLC vials containing the donor, promoter, deprotection solution, and cleavage solution were prepared. Each vial, containing 3 to 6 mL of solvent, was placed in the automatic sampler tray. Subsequent steps were fully automated by programming standard operating software, eliminating the need for manual intervention.
Glycosylation reactions were performed in two sets of five injections each. The donor and promoter were drawn from the vials, mixed in the needle seat, and injected. After the activated donor passed through the column, the procedure was repeated. The resin was then washed with dichloromethane (DCM) and dimethylformamide (DMF), followed by five additional injections. This cycle of glycosylation was repeated to maximize grafting efficiency and minimize yield losses.
After four cycles of glycosylation and deprotection, the supported pentasaccharide was cleaved from the resin using a sodium methoxide solution. The compound was subsequently processed through a series of post-automation steps, including acetylation with acetic anhydride in pyridine and purification via column chromatography, yielding the final pentasaccharide with an overall yield of 33%. This result reflects an average yield of 86% per step (Figure 47).
Figure 47: HPLC-assisted synthesis of a pentasaccharide (solvents and reagents are stored in 3 to 6 mL vials).
This method represents a significant advancement in the automation of oligosaccharide synthesis. The integration of an HPLC system equipped with an automatic sampler is now commonplace in laboratories, and the process does not require specialized software. Consequently, any standard HPLC apparatus can be transformed into an automated oligosaccharide synthesizer.
Undoubtedly, solid-phase synthesis is a proven technique for constructing very long oligosaccharide chains. The use of an insoluble polymer as a support has been extensively applied in the preparation of numerous biologically relevant molecules. This process has been mechanized, and described the first fully automated solid-phase oligosaccharide synthesizer in 2012.
However, a key limitation of this approach is that the reaction occurs on a solid surface, which restricts the access of soluble compounds to the reactive sites on the support. Regardless of the strategy employed in solid-phase synthesis, reagents-whether donors or acceptors-must be added in large excess during the reaction to facilitate the interaction of reactive sites.
In peptide synthesis on a solid support, the addition of excess reagents is not problematic due to the availability and low cost of commercial amino acid building blocks. In contrast, glycosyl donors and acceptors are often obtained through multi-step syntheses, which can be expensive, necessitating the use of highly reactive compounds to minimize losses (often, there are more steps required for the building blocks than for the subsequent synthesis). The heterogeneous conditions and limited access to reactive sites involved in large-scale precursor synthesis have thus hindered the universal application of solid-phase synthesis in glycoscience. By replacing insoluble cross-linked resins with soluble supports, the typical reaction conditions of classical organic chemistry can be reinstated, allowing soluble supports to find application in oligosaccharide synthesis.
Soluble Support
Soluble supports can either be polymers or small molecules referred to as tags. Depending on the operational conditions, these supports exhibit different physicochemical properties that are utilized to isolate synthetic intermediates. For instance, in the case of soluble polymers, the solution is diluted with a solvent that induces precipitation of the macromolecular support. Similar to solid-phase synthesis, the resulting heterogeneous mixture is filtered to isolate the polymer-sugar conjugate, while excess reagents and impurities are removed by rinsing.
Additionally, various synthesis techniques combining the advantages of both solid and liquid supports have been developed for oligosaccharide synthesis. Supported synthesis on a soluble polymer, attachment of a fluorescent tag, incorporation of a hydrophobic chain, and synthesis supported on ionic liquids are examples that eliminate the need for column chromatography.
Examples of Supported Oligosaccharide Synthesis in Solution
Synthesis Supported on Polyethylene Glycol (PEG) Polymer
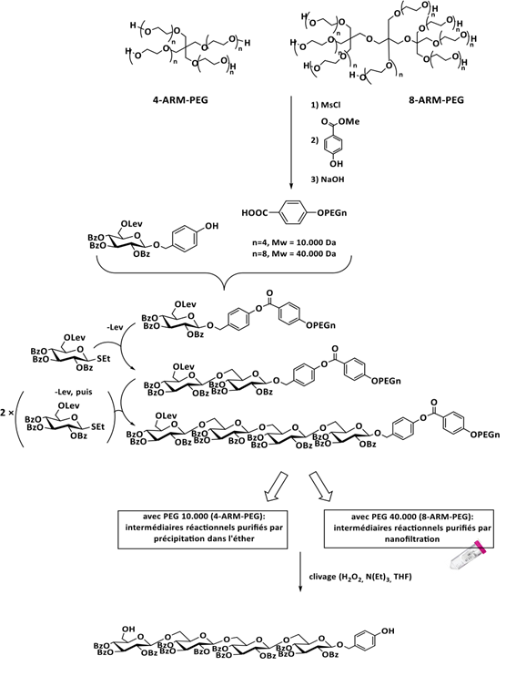
Initial attempts to develop oligosaccharide synthesis on a soluble polymer support were reported in the 1970s. The success of these early efforts was limited, achieving only simple di- and trisaccharides. In 2003, it was utilized pentaerythritol and tripentaerythritol, onto which polyethylene glycol (PEG) chains were grafted, as supports for the synthesis of β (1→6) glucans. These commercial polymers (4ARM PEG and 8ARM PEG) are soluble under glycosylation conditions and can be made insoluble by the simple addition of diethyl ether or methyl tert-butyl ether.
Boons first grafted 4-hydroxybenzoate methyl ester as a UV tag onto these polymers, followed by saponification of the methyl ester. These PEG-derived polymers were then employed in the supported synthesis of oligosaccharides. By esterification, a glucoside bearing a levulinoyl ester at the C-6 position and a p-hydroxybenzyl group at the anomeric position was attached. Subsequently, through an iterative process using only 1.5 equivalents of donor, the promoters NIS/Tf (OH), and hydrazine as the deprotection reagent for the levulinoyl group, Boons synthesized two β (1→6) glucans. The synthetic intermediates were purified either by precipitation in ether for the 4ARM PEG (Mw ~ 10,000 Da) or by nanofiltration for the 8ARM PEG (Mw ~ 40,000 Da) Figure 48.
Supported Synthesis on Poly (2-Hydroxyethyl Methacrylate) (pHEMA)
In 2018, utilized poly (2-hydroxyethyl methacrylate) (pHEMA) as a polymer support in the synthesis of a trisaccharide found in the bacterium Pseudomonas aeruginosa. pHEMA has been employed since the 1960s in the production of soft, hydrophilic contact lenses Figure 49.
The authors of this study also employed an o-nitrobenzyl-derived linker that possesses photocleavable properties. This photochemistry- based method offers the advantage of operating under mild conditions without generating by-products. The cleavage mechanism is identified as a type II Norrish reaction, first described in 1935. Norrish explained that an incident photon breaks the N=O bond in the nitro group, resulting in the protected substrate entering an excited biradical state.Subsequently, the nitrogen radical abstracts a proton from the benzylic carbon, forming an aci-nitro compound. The π electrons of the intermediate then rearrange, facilitating the formation of a five-membered ring. This cleavage ultimately yields 2-nitrosobenzaldehyde, which is easily removable (Figure 50).
This photochemical reaction was employed by P. Seeberger in the development of a photocleavable linker and has since been regularly used in the solid-phase synthesis of oligosaccharides. Building on the same principle, a photocleavable linker was developed from t-butyl-4-(bromomethyl)-3-nitrobenzoate and hydroquinone protected by a TBDPS group in the presence of K2CO3 and TBAI. The TBDPS group is subsequently removed using hydrofluoric acid in pyridine.
The first glycosylation on this precursor is carried out under standard synthesis conditions using a thioglycoside donor and the NIS/Tf (OH) system as the promoting agent. The t-butyl ester is then hydrolyzed in the presence of TFA to yield the glucoside derivative functionalized with an acid. This second precursor serves as the starting point for constructing the oligosaccharide and is coupled to pHEMA under classical synthesis conditions using EDC-DMAP. The reactivity of the unreacted alcohol functionalities on pHEMA is capped with acetyl chloride (AcCl). The synthetic intermediate is easily isolated by precipitation in methanol Figure 51.
Subsequent reactions for the construction of the trisaccharide (deprotection followed by glycosylation) are carried out using thioglycosides, with each synthetic intermediate isolated by precipitation in methanol. The oligosaccharide is then cleaved from the support via photochemistry, resulting in the protected trisaccharide with an overall yield of 39%. (Figure 52).
Oligosaccharide Synthesis on Fluorinated Support
Fluorinated solvents, such as perfluorohexane, are insoluble in most organic solvents and water, leading to the formation of three distinct layers when mixed with these solvents. The introduction of the fluorinated biphasic system has significantly advanced fluorinated chemistry in the realm of chemical synthesis. Highly fluorinated compounds can be readily separated from non-fluorinated compounds through straightforward phase separation of the fluorinated organic phase.
One of the pioneering studies on oligosaccharide synthesis employing these properties demonstrated the incorporation of a fluorinated tag onto the glycosyl acceptor, facilitating the efficient synthesis of long-chain oligosaccharides. The glycosyl acceptor, now bearing the fluorinated tag, couples with the glycosyl donor to yield a fluorinated disaccharide. Following the reaction, the mixture is separated using both fluorinated and conventional organic solvents, allowing for the extraction of the fluorinated disaccharide and any excess glycosyl donor from their respective phases.
After selective deprotection, this procedure can be repeated to generate the fluorinated oligosaccharide, which is purified via liquid-liquid extraction, thereby eliminating the need for column chromatography. Ultimately, the fluorinated tag is cleaved to produce the desired oligosaccharide, while the tag itself is extracted with a fluorinated solvent for recycling (Figure 53).
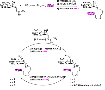
The authors employed this method to attach a bifluorinated chain linked to a propanoyl group (Bfp) as a protective group. This Bfp group was attached to the three secondary alcohols of α-methyl-D-glucose. This glycosyl acceptor served as the starting point for constructing a tetrasaccharide. Each synthetic intermediate was purified through simple extraction: the fluorinated compounds were extracted using FC72 (a commercial fluorocarbon solvent composed of isomers of perfluorohexane, C6F14), while other compounds were extracted with traditional organic solvents such as toluene and methanol (Figure 54).
This innovative technique utilizing a fluorinated support has represented a significant advancement in oligosaccharide synthesis, despite the requirement for 8 to 20 equivalents of donors and the high cost of the FC72 solvent. The unique physicochemical properties of fluorinated compounds, along with the pursuit of optimal purification methods, have led to the development of new purification techniques such as Fluorinated Solid Phase Extraction (FSPE). Introduced in 1997, this method involves grafting perfluorinated chains, specifically dimethyl[2-(perfluorohexyl)ethyl] silyl, onto the silanols (Si-OH) present on the surface of standard silica gel. This fluorinated silica gel is then employed as the stationary phase in conventional liquid chromatography (Figure 55).
By applying a crude glycosylation mixture containing a highly fluorinated compound onto this modified gel, a fluorophobic wash, such as a 20% aqueous methanol solution, selectively elutes only the non-fluorinated molecules. The fluorinated molecules remain adsorbed on the modified silica gel. Subsequently, a fluorophilic wash, using solvents like methanol or THF, is employed to elute the fluorinated compounds from the stationary phase (Figure 56).
FSPE was subsequently applied in the synthesis of oligosaccharides, marking the first instance of oligosaccharide synthesis using this technique. In this study, a fluorinated tag with an alkene functionality was initially prepared (Figure 57).
The fluorinated molecule was subsequently glycosylated onto a benzylated trichloroacetimidate donor. The alkene functionality facilitates the cleavage of the fluorinated chain from the oligosaccharide, generating a new functional group for the incorporation of additional structures. Once the tag is attached, the fluorinated sugar is purified using FSPE. The methanol (fluorophilic solvent) employed for elution is treated with 0.5 M sodium hydroxide to deacetylate the compound and streamline the process. The glycosylation and deprotection steps were repeated to obtain the linear di-, tri-, and tetrasaccharides (Figure 58).
The α(1→2) tetramannoside was synthesized with an overall yield of 79% from the starting monosaccharide, utilizing six equivalents of donors, with each intermediate purified by FSPE. In contrast, one of the early automated solid-phase oligosaccharide syntheses produced a linear trimannoside with a yield of 74%, requiring a total of 60 equivalents of glycosyl donor. The research in this area has been highly active, particularly in leveraging the physicochemical properties of fluorine for oligosaccharide synthesis. This synthesis and purification process via FSPE was automated in 2015, enabling the construction of more complex oligosaccharides.
In some instances, the fluorinated tag on the glycosyl acceptor may hinder reactions; an alternative approach involves introducing the tag post-glycosylation through a reversible reaction. This strategy entails the introduction of the fluorinated tag between a ketone functionality on the aglycone and a fluorinated hydrazine. The products labeled with the fluorinated tag are subsequently separated by FSPE. Hydrolysis of the hydrazone then allows regeneration of the ketonic derivative, while the fluorinated hydrazine is recovered using FSPE (Figure 59).
More recently, complex oligosaccharide fragments of glycosaminoglycans have been assembled using a fluorinated support, demonstrating that FSPE-assisted synthesis is also suitable for the production of polar oligosaccharide compounds. (Figure 60 A, Figure 60 B).
Synthesis of Oligosaccharides Combining the Advantages of Solid and Fluorinated Supports
The use of a soluble support allows for homogeneous reaction conditions, while a solid support facilitates the purification of synthetic intermediates through simple filtration. In 2020, a novel method was described that combines the advantages of both supports in the synthesis of the antigenic hexasaccharide Globo-H, which is present on the surface of certain cancer cells. Glycosylation and deprotection reactions are conducted in solution, followed by purification via filtration.
In this strategy, a fluorinated benzyl-type linker is attached to the first sugar to be elongated, utilizing commercial polytetrafluoroethylene (PTFE) particles as the support. The linker is not covalently attached but is instead held through fluor-fluor interactions. In brief, the glycosylation or deprotection reactions are performed in solution, after which the PTFE particles are added to the reaction mixture.
The fluor-fluor interactions between the linker and the support are enhanced by the addition of a polar solvent (acetone/H2O). This step effectively captures the fluorinated oligosaccharide on the PTFE particles, allowing for purification through simple filtration. The fluorinated saccharide is then released from the PTFE particles with the addition of a traditional organic solvent (acetone), enabling the subsequent coupling or deprotection steps. This approach successfully yielded the antigenic hexasaccharide Globo-H in five steps, achieving an overall yield of 48% (Figure 61).
Synthesis of Oligosaccharides on Hydrophobic Support (C18 Chain)
A significant advancement in solution-supported synthesis has been achieved through the combined use of a C18 solid phase. In 1999-2000, two oligosaccharide syntheses were conducted utilizing hydrophobic protecting groups. In the first study, p-dodecyloxybenzyl was employed as a lipophilic marker. This protecting group enables selective adsorption on a C18 column in aqueous methanol at 80%. Elution with a 90:10 methanol/water mixture effectively removes by-products, while subsequent elution with 100% methanol yields the lipophilic product with a purity exceeding 95%.
In subsequent work, four fatty acid ester groups were utilized as hydrophobic markers on a tetrasaccharide glycosyl acceptor. By employing C18 column separation, successful preparation of 10 mg of a large oligosaccharide containing 24 units was achieved.
This technique, known as HASP (Hydrophobically Assisted Switching Phase), was revisited in 2005 and later in 2016 by Li. In the latter study, the authors glycosylated a thiocetyl chain (C16) onto two model donors, serving as starting points for the oligosaccharide construction. Similar to purification via FSPE, the authors leveraged the hydrophobic properties of the cetyl chain. Each crude glycosylation product was deposited as a solid on a column containing reverse-phase silica gel, which was functionalized with hydrophobic C18 chains. Organic compounds and by-products were effectively removed using a polar solvent such as methanol, while the thioglycoside with the nonpolar cetyl chain was eluted using dichloromethane (DCM).
Using the HASP technique, the nona-mannoside associated with the HIV-expressed protein gp120 was synthesized with a minimal amount of 1.2 equivalents of donor for each glycosylation step. This method also enabled gram-scale synthesis, providing practical conditions for handling the compounds. Notably, the thiocetyl chain can be replaced during glycosylation with a chain functionalized with an azide group. The introduction of this functionality allows for further modification of the oligosaccharide with a biomolecule or fluorescent probe for subsequent studies Figure 63.
Figure 62: hydrophobic protective group and purification on column C18: A) dodecyloxybenzyl group on the glycosyl acceptor. B) “Fat” esters on the glycosyl acceptor.
Synthesis Using Ionic Liquids
In recent years, ionic liquids (ILs) have garnered significant attention due to their unique characteristics as liquids and their solvent properties. These substances are salts composed of organic cations (such as imidazolium, ammonium, and pyrrolidinium) paired with inorganic anions (e.g., Cl⁻, AlCl₄⁻, PF₆⁻, BF₄⁻, NTf₂⁻, DCA⁻) or organic anions (such as CH₃COO⁻ and CH₃SO₃⁻), and they remain liquid around room temperature. Ionic liquids can be covalently bonded to small molecules. Their ionic nature renders them insoluble in nonpolar solvents like hexane while making them soluble in polar organic solvents such as dimethylformamide. These physicochemical properties have been utilized in oligosaccharide synthesis similarly to the previously described polymer-supported synthesis.Glycosylation reactions are performed in homogeneous phase using an appropriate solvent. Following the reaction, the ionically supported species (which are polar) can be precipitated by the addition of a nonpolar solvent. The ionically supported species can then be easily recovered and purified through simple washing with a nonpolar solvent.
The first synthesis employing ILs as a soluble support was reported in 2006 for the synthesis of a β (1→6) glucan. In this study, the ionic tag (IL) was attached at the C-6 position of the donor, forming the precursor for IL-supported synthesis. Each synthetic intermediate containing the IL tag (a polar compound) was purified by precipitation in pentane, hexane, and isopropyl ether.This strategy utilized sulfoxides as glycosyl donors, activated with the 2,6-di-tert-butyl-4-methylpyridine/Tf₂O system in dichloromethane (DCM). The resulting product contained a thiophenyl group installed at the anomeric position, which was subsequently converted into a sulfoxide through oxidation with meta-chloroperbenzoic acid (MCPBA). The glycosylation-conversion process was repeated, and the reaction intermediates were purified by precipitation, ultimately leading to the formation of a trisaccharide Figure 64.
Figure 64: Supported synthesis on ionic tag of a β (1→6) glucan trisaccharide with ionic tag attached to the glycosyl donor.
In a second developed approach, a p-thiotolyl glycoside was utilized as an acceptor, while a fluorinated glycoside marked with an ionic tag served as the donor. These two structures facilitated the synthesis of a linear thioglycoside tetramannopyranoside. The glycosyl fluoride donor was attached to the IL support via an ester linkage. Following the glycosylation reaction, the IL support can be easily detached using saturated bicarbonate in a biphasic solvent mixture of water and ether, allowing for the recovery and isolation of the acceptor.
In this strategy, only the donors and acceptors required purification on silica gel. In contrast, each intermediate in the construction of the oligomannoside was isolated through simple extractions using appropriate solvents. This method allowed for the production of approximately 800 mg of the final protected oligosaccharide. This work represents the first reported synthesis of a tetrasaccharide using ionic liquids on a large-scale Figure 65.
Figure 65: Supported ionic tag synthesis of a β (1→6) tetramannoside with ionic tag attached to the glycosyl donor.
This method, however, cannot be broadly applied to general oligosaccharide syntheses. The ionic tag was incorporated at the C-6 position of the glycosyl donor through an ester function, which limits the use of other compatible and orthogonal protective groups. The ester functionality is known to be labile under basic conditions. Additionally, in a conventional glycosylation reaction, a slight excess of the glycosyl donor is typically required to drive the reactions to completion.
The hydrolysis of the glycosyl donor is also recognized as an undesirable side product. Therefore, incorporating the IL tag onto the glycosyl donor could potentially lead to mixtures of IL tags, which limits the construction of the supported oligosaccharide. Since then, new strategies have been developed to identify more efficient and general methods for incorporating IL tags into carbohydrate moieties that are compatible with commonly used protective groups and suitable for the final release of the oligosaccharide.
The anomeric position of the terminal reducing saccharide appears to be an ideal site for the ionic marker; it can be introduced early in the synthesis, allowing for the product to be released once the oligosaccharide sequence is fully constructed. (Figure 66).
Figure 66: the introduction of the ion tag on the acceptor is better suited for synthesis Supported.
In 2011, two synthesis strategies were developed for a benzylic ionic linker, which served as a starting point for the construction of the oligosaccharide (Figure 67).
Li’s strategy employs dibromo-p-xylene, where one of the bromine atoms is substituted with an acetate (OAc) group and the other with N-methylimidazole, forming the ionic marker. This second reaction is conducted in the presence of potassium hexafluorophosphate (KPF₆), allowing for the substitution of the bromide anion (Br⁻) with the hexafluorophosphate anion (PF₆⁻). The resulting salt with the PF₆⁻ counterion is significantly less soluble in water, which helps minimize losses of the oligosaccharide compound during washing and extraction. The acetate group (Ac) is then treated with methanol, generating the hydroxyl function. The resulting molecule is subsequently glycosylated with the donor to produce the precursor for oligosaccharide construction.
Galan’s strategy is somewhat different, yet achieves a similar outcome. The 4-(chloromethyl)benzyl alcohol is first glycosylated with the donor, and the chlorine is later substituted with N-methylimidazole. This substitution is performed in the presence of potassium trifluoromethanesulfonate (KOTf).
This strategy facilitates the attachment of the acceptor to a benzylic ionic linker that can be cleaved by hydrogenation, thus avoiding decomposition and undesirable by-products. An iterative process (glycosylation-purification-deprotection) has been established, combining the advantages of precipitation and solid-liquid extraction to reduce losses and purification time. This approach has been successfully employed for the rapid assembly of a linear α(1→2) nonamannoside, as well as a β(1→6) glucan tetrasaccharide (Figure 68).
Figure 68: synthesis supported on ionic tag α (1→2) nonamannoside (Li 2011) and one β (1→6) Glucan tetrasaccharide.
Since then, additional complex oligosaccharides utilizing the same ionic arm have been synthesized. An example of this is the synthesis of a chitooligosaccharide precursor to lipochitine. These lipochitines (LCO) are natural molecules involved in the mechanisms of bacterial-plant communication.
In this example, conducted by Jean-Marie Beau’s team, seven steps were carried out using thioglycoside precursors synthesized from HSMbp, allowing for the construction of the structure without the need for purification by chromatography. Non-ionic compounds were selectively removed using appropriate solvents, resulting in the synthesis of the chitooligosaccharide with an overall yield of 13% (60% per step) (Figure 69).
Similarly, using the same ionic linker, a natural oligosaccharide linked at the β (1→3) position, composed of six glucose units found in laminarin, was synthesized in 2017. In this synthesis, 2 to 4 equivalents of donor were used at each step, achieving an average glycosylation yield of 90%. The acetates and benzylidene groups were removed through methanolysis followed by acid treatment. The deprotected oligosaccharide was then cleaved from the ionic linker via hydrogenolysis, resulting in a yield of 48% over these final three steps (Figure 70).
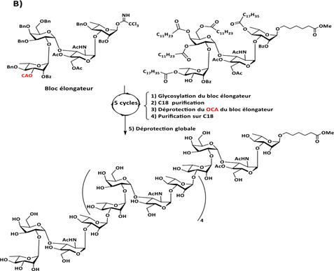
This ionic tag appears to be practical for the large-scale supported synthesis of oligosaccharides, with a protocol recently described for the synthesis of 10 grams of material. The authors attached the ionic tag at the O-6 position of the first sugar through a linker that is labile under oxidative conditions Figure 71.
Conclusion
The synthesis of oligosaccharides using thioglycoside donors has emerged as a vital area of research, offering significant advancements in both methodology and application. This review has highlighted the integral roles that oligosaccharides play in biological systems, particularly in cellular communication, immune responses, and developmental processes. The complexity of glycosidic bond formation presents substantial challenges, necessitating innovative approaches to ensure precise stereochemical control and efficient synthesis.
Thioglycosides have proven to be advantageous glycosyl donors due to their stability and ease of preparation. Their unique characteristics facilitate a variety of glycosylation strategies, allowing for greater flexibility in the construction of complex oligosaccharides. The development of supported synthesis methods, particularly using soluble supports, has revolutionized the field by enhancing the efficiency of oligosaccharide production while minimizing purification difficulties. These methodologies not only streamline the synthesis process but also improve the overall yield of desired products.
Key advancements have included the use of ionic liquids and novel linkers that enable the efficient cleavage and functionalization of oligosaccharides. The incorporation of functional groups into the oligosaccharide structures has opened new avenues for conjugation with therapeutic agents and probes, thereby broadening the potential applications of synthesized oligosaccharides in medicine and biotechnology.
The iterative strategies of glycosylation-purification-deprotection have further optimized the synthesis process, emphasizing the importance of controlling reaction conditions to achieve high yields and purity. The ability to selectively eliminate non-ionic by-products through appropriate solvent choices has also contributed to the advancement of purification techniques, making the synthesis of complex oligosaccharides more feasible.
Looking ahead, the future of oligosaccharide synthesis appears promising, with ongoing research focused on improving the efficiency and scalability of these methodologies. The development of automated systems for oligosaccharide synthesis, such as HPLC-assisted techniques, holds great potential for high-throughput applications. Furthermore, the exploration of new protecting groups and activation strategies will likely enhance the versatility of glycosyl donors, allowing for the synthesis of increasingly complex oligosaccharides.
In conclusion, the continued exploration of thioglycoside-based approaches and supported synthesis methodologies is essential for overcoming the current challenges in oligosaccharide synthesis. As researchers refine these techniques and develop novel strategies, the availability and functionality of oligosaccharides will expand, paving the way for innovative solutions to pressing biological and therapeutic challenges. The interplay between synthetic chemistry and biological applications will undoubtedly yield new insights, making oligosaccharides a key focus in glyco-chemistry research and its applications in health and disease.
References
- Thallaj N (2021) Synthesis of a New Ligand Tris (2-pyridylmethyl) amine functionalized by a methoxy group and study of Dichloroferrous complexes, its reactivity to dioxygen both in the presence and absence of substrate. International journal of applied chemistry and biological sciences 2(4): 65-77.
- L Labban, N Thallaj, Z Malek (2020) International Journal of Medical Studies 5(12): 23-36.
- L Labban, M Kudsi, Z Malek, N Thallaj (2020) Pain Relieving Properties of Ginger (Z. officinale) and Echinacea (E.angustifolia) Extracts Supplementation among Female Patients with Osteoarthritis. A Randomized Study. Advances in Medical, Dental and Health Sciences 3(3): 45-48.
- L Labban, N Thallaj, M Al Masri (2020) Journal of Advanced Research in Food Science and Nutrition 3(1): 34-41.
- Thallaj N, agha M I H, nattouf AH, katib CH, karaali A et al. (2020) Evaluation of Antimicrobial Activities and Bioactive Compounds of Different Extracts Related to Syrian Traditional Products of Damask Rose (Rosa damascena). open access library journal 7(5): 1-21.
- L labban, N Thallaj, A labban (2020) Archives of Medicine 12(2): 1-5.
- L labban, N Thallaj (2020) International Journal of Herbal Medicine 8(2): 33-37.
- L Labban, N Thallaj, Z Malek (2019) The implications of E-cigarettes or "vaping"on the nutritional status. Journal of Medical Research and Health Sciences 2(11): 784-787.
- L labban, N Thallaj (2019) The Effect of Magnesium Supplementation on Hba1c Level and Lipid Profile Among Type 2 Diabetics. Acta Scientific Nutritional Health 3(10): 7-12.
- Malek ZS, Labban L (2020) The International Journal of Neuroscience pp.1-7.
- Malek ZS, Labban L (2019) A Comparative Study of Tryptophan Hydroxylase's Circadian Rhythm in the Functional Parts of Dorsal Raphe Nuclei in the Mesencephalon European Journal of Pharmaceutical and Medical Research 6(11): 527-532.
- Malek ZS (2018) Journal of AlBaath University 40(4): 39-62.
- Malek ZS (2018) Analytical Study for the Determination of Norfloxacin in Pure and Pharmaceutical Formulations using Alizarin by Visible Spectrophotometric Method. Tishreen University Journal for Research and Scientific Studies 40(2).
- ZS Malek, LM Labban (2021) Photoperiod regulates the daily profiles of tryptophan hydroxylase-2 gene expression the raphe nuclei of rats. International Journal of Neuroscience 131(12): 1155-1161.
- ZS Malek, LM Labban (2020) Photoperiod regulates the daily profiles of Tryptophan Hydroxylase-2 gene expression the raphe nuclei of rats. Journal of current research in physiology and pharmacology 4(1): 1-5.
- LM Labban, MM Alshishkli, A Alkhalaf, Z Malek (2017) J Adv Res Dent Oral Health 2(3&4): 1-4.
- L Labban, ZS Malek (2018) Open Access Library Journal 5(07): 1-11.
- L Labban, ZS Malek (2019) Ann Food Nutr Res J 1: 1
- Labban L, N Thallaj (2019) Acta Scient Nutr Health 3: 7-12.
- N Thallaj (2022) Tishreen university journal 44(1): 59-77.
- N Thallaj (2022) Tishreen university journal 44(2): 87-105.
- A Abbood, N Thallaj (2023) Arab Journal of Pharmaceutical Sciences 7(1).
- N Thallaj (2023) Tishreen University Journal-Medical Sciences Series 44(6): 21-29.
- Machkour A, Thallaj NK, Benhamou L, Lachkar M, Mandon D (2006) The coordination chemistry of FeCl3 and FeCl2 to bis[2-(2,3-dihydroxyphenyl)-6-pyridylmethyl] (2-pyridylmethyl) amine: access to a diiron (III) compound with an unusual pentagonal-bipyramidal/square-pyramidal environment. Chemistry 12(25): 6660-
- Thallaj N, Machkour A, Mandon D, Welter R (2005) Square pyramidal geometry around the metal and tridentate coordination mode of the tripod in the [6-(3′-cyanophenyl)-2-pyridylmethyl] bis(2-pyridylmethyl) amine FeCl2 complex: a solid-state effect New J Chem 29: 1555 - 1558.
- Thallaj NK, Rotthaus O, Benhamou L, Humbert N, Elhabiri M (2008) Reactivity of molecular dioxygen towards a series of isostructural dichloroiron(III) complexes with tripodal tetraamine ligands: general access to mu-oxodiiron(III) complexes and effect of alpha-fluorination on the reaction kinetics. Chemistry-A European Journal 14(22): 6742-6753.
- Wane A, Thallaj NK, Mandon D (2009) Biomimetic Interaction between FeII and O2: Effect of the Second Coordination Sphere on O2 Binding to FeII Complexes: Evidence of Coordination at the Metal Centre by a Dissociative Mechanism in the Formation of μ-Oxo Diferric Complexes. Chemistry 15(40): 10593-10602.
- Thallaj NK, Orain PY, Thibon A, Sandroni M, Welter R (2014) Steric congestion at, and proximity to, a ferrous center leads to hydration of α-nitrile substituents forming coordinated carboxamides. Inorg Chem53(15): 7824-7836.
- NK Thallaj, J Przybilla, R Welter, D Mandon (2008) A Ferrous Center as Reaction Site for Hydration of a Nitrile Group into a Carboxamide in Mild Conditions. J Am Chem Soc 130: 2414-2415.
- NK Thallaj, D Mandon, KA White (2007) The Design of Metal Chelates with a Biologically Related Redox-Active Part: Conjugation of Riboflavin to Bis(2-pyridylmethyl) amine Ligand and Preparation of a Ferric Complex. Eur J of Inorg Chem 2007: 44-47.
- Thallaj N (2021) Synthesis of a New Ligand Tris (2-pyridylmethyl) amine functionalized by a methoxy group and study of Dichloroferrous complexes, its reactivity to dioxygen both in the presence and absence of substrate. International journal of applied chemistry and biological sciences 2(4): 65-77.
- Thallaj N (2023) Review of a Few Selected Examples of Intermolecular Dioxygenases Involving Molecular Oxygen and Non-Heme Iron Proteins. Int J Adv Parmacutical Sci Res (IJAPSR) 3: 1-18.
- L Labban, M Kudsi, Z Malek, N Thallaj (2020) Pain Relieving Properties of Ginger (Z. officinale) and Echinacea (E. angustifolia) Extracts Supplementation among Female Patients with Osteoarthritis. A Randomized Study. Advances in Medical, Dental and Health Sciences 3(3): 45-48.
- L Labban, N Thallaj, M Al Masri (2020) The Nutritional Value of Traditional Syrian Sweets and Their Calorie Density. Journal of Advanced Research in Food Science and Nutrition 3(1): 34-41.
- L labban, N Thallaj, A labban (2020) Assessing the Level of Awareness and Knowledge of COVID 19 Pandemic among Syrians. archives of medicine 12(2): 1-5.
- L Labban, N Thallaj, Z Malek (2019) The implications of E-cigarettes or "vaping “on the nutritional status. Journal of Medical Research and Health Sciences 2(11): 784-787.
- Malek ZS, Sage D, Pevet P, Raison S (2007) Daily Rhythm of Tryptophan Hydroxylase-2 Messenger Ribonucleic Acid within Raphe Neurons Is Induced by Corticoid Daily Surge and Modulated by Enhanced Locomotor Activity. Endocrinology 148 (11): 5165-5173.
- Malek ZS, Dardente H, Pevet P, Raison S (2005) Tissue-specific expression of tryptophan hydroxylase mRNAs in the rat midbrain: anatomical evidence and daily profiles. European Journal of Neuroscience 2005 22(4): 895-901.
- A Abbood, SA Malik, D aldiab, HH Ali, N Thallaj (2025) Investigation of the charge variant profile of non-cleavable conjugated antibodies. Research J Pharm and Tech 18(1): 185-190.
- Malek S, Pevet P, Raison S (2004) Neuroscience 125(3): 749-758.
- Malek ZS, Labban L (2020) The International Journal of Neuroscience :1-7.
- ZS Malek, LM Labban (2020) Journal of current research in physiology and pharmacology 4(1): 1-5.
- LM Labban, MM Alshishkli, A Alkhalaf, Z Malek (2017) J Adv Res Dent Oral Health 2(3&4): 1-4.
- L Labban, ZS Malek, Open Access Library Journal, 2018, 5 (07), 1-11.
- Y alhomush, Z malek, A Abboud, N Thallaj (2022) Research Journal of Pharmacy and Technology 15: 10.
- A Abbood, Z Malek, N Thallaj (2022) Research Journal of Pharmacy and Technology 15(11): 4935-4939.
- Thallaj N, agha MIH, nattouf AH, katib CH, karaali A, Moustapha A, et al. (2020) open access library journal 7(5): 1-21.
- N Thallaj (2021) Indian journal of advanced chemistry 1(2): 20-26.
- N Thallaj (2022) Indian journal of advanced chemistry 2(2): 1-11.
- N Thallaj (2022) Indian journal of advanced chemistry 2(1): 5-9.
- N Thallaj (2022) Indian journal of advanced chemistry 2(1): 10-14.
- N Thallaj, Xi'an ShiyouDaxueXuebao (ZiranKexue Ban) (2022) Journal of Xi'an Shiyou University, Natural Sciences Edition 65(06): 289-301.
- N Thallaj, Xi'an ShiyouDaxueXuebao (ZiranKexue Ban) (2022) Journal of Xi'an Shiyou University, Natural Sciences Edition 65(06): 313-328.
- Z MALEK, A ABBOOD, N THALLAJ, Xi'an ShiyouDaxueXuebao (ZiranKexue Ban) (2022) Journal of Xi'an Shiyou University, Natural Sciences Edition 65(06): 302-312.
- N Thallaj, Xi'an Shiyou Daxue Xuebao (Ziran Kexue Ban) (2022) Journal of Xi'an Shiyou University, Natural Sciences Edition 65(7): 169-184.
- Z MALEK, Xi'an Shiyou Daxue Xuebao (Ziran Kexue Ban) (2022) Journal of Xi'an Shiyou University, Natural Sciences Edition 65(7): 143-152.
- Thallaj, Xi'an Shiyou Daxue Xuebao (Ziran Kexue Ban) (2022) Journal of Xi'an Shiyou University, Natural Sciences Edition 65(7): 110-142.
- N Thallaj (2023) Tishreen University Journal-Medical Sciences Series 44(6): 21-29.
- N Thallaj (2022) International Journal of Advanced Pharmaceutical Sciences and Research (IJAPSR) 2(3): 1-28.
- N Thallaj (2022) International Journal of Advanced Pharmaceutical Sciences and Research (IJAPSR) 2(4): 1-15.
- N Thallaj (2023) International Journal of Advanced Pharmaceutical Sciences and Research (IJAPSR) 3(2): 1-18.
- N Thallaj (2022) International Journal of Advanced Pharmaceutical Sciences and Research (IJAPSR) 2(6): 1-12.
- N Thallaj (2023) International Journal of Advanced Pharmaceutical Sciences and Research (IJAPSR) 3(3): 1-10.
- N Thallaj (2024) International Journal of Advanced Pharmaceutical Sciences and Research (IJAPSR) 4(1): 32-52.
- N Thallaj (2024) International Journal of Advanced Pharmaceutical Sciences and Research (IJAPSR) 4(5): 29-49.
- N Thallaj (2024) International Journal of Advanced Pharmaceutical Sciences and Research (IJAPSR) 4(4): 7-21.
- N Thallaj. International Journal of Advanced Pharmaceutical Sciences and Research (IJAPSR) 2024.4, 6,7-27.
- N Thallaj (2024) International Journal of Advanced Pharmaceutical Sciences and Research (IJAPSR)4(6): 33-48.
- Besherb S, Alallan L, Hassan Agha MA, AIshamas I, Thallaj N, et al. (2024) Influence of soil salinity on the chemical composition of essential oil of Rosmarinus Officinalis in Syria, Research J. Pharm. and Tech 17(5).
- Thallaj N (2024) Advancements in Pharmaceutical Science: Synthesis and Application of Molecular Cages Integrating N-Heterocyclic Carbenes for Enhanced Stability and Functionality. International Journal of Advanced Pharmaceutical Sciences and Research (IJAPSR) 5(1): 6-19.
- Ayat Abbood, Hassan Hadi Ali, Samir Azzat Malik, Dima AlDiab, Nasser Thallaj, et al. (2025) Investigation of the Charge Variant Profile of Non-cleavable Conjugated Antibodies. Research Journal of Pharmacy and Technology 18(1): 185-190.
- Thallaj N (2025) Analyzing Charge Variant Profiles of Monoclonal Antibodies Conjugated to Cytotoxic Agents. International Journal of Advanced Pharmaceutical Sciences and Research (IJAPSR) 4(3): 20-26.
- Thallaj N (2025) Biomimetic Synthesis and Phytochemical Analysis of Lodopyridone: Insights into 4-Pyridone Derivatives and Thiopeptide Antibiotic. Journal of Advanced Pharmaceutical Sciences and Research (IJAPSR) 4(3): 9-19.
- Mousa Al Khleif, Nour Alhuda Alzoubi, Ghassan Shannan, Zeina S Malek, Nasser Thallaj (2025) Exploring Circadian Rhythms:A Comprehensive Study on Sleep Patterns and Disorders in Syrian Society. Am J Biomed Sci & Res 26(2).
- Ranim Abdul Rahman, Louai Alallan, Ahmed Khalid Aldhalmi, Nasser Thallaj (2025) Separation, Determination, and Potential Application of Active Compounds in Porosopis cineraria: A Comprehensive Analysis. Research Journal of Pharmacy and Technology 18(4):1604-1610.
- Dalia Aboufakher, Rita Zeinaldin, Racha Khatib, Rawa Khreit, Mohamed Sami Joha, et al. (2025) Prevalence and AntibioticResistance Patterns of Multidrug-Resistant Gram-Negative Bacilli in Hospitalized Patients in Sweida, Syria. Am J Biomed Sci & Res. 2025 26(3): 309-315
- Besher S, Alallan L, Hasan Agha MI, Alshamaa I, Thallaj N (2024) Influence of Soil Salinity on the Chemical Composition of Essential Oil of Rosmarinus officinalis in Syria. Research Journal of Pharmacy and Technology 17(5): 2282- 2288.
- Khatib O, Alshimale T, Alsaadi A, Thallaj N (2024) The Global Impact of HIV: A Comprehensive Review. IJAPSR 4(3): 6-19.
- Samer alkhoury, Rasha Kateeb, Rawa Akasha and Nasser Thallaj (2025) Analysis of Crocin Content in Saffron (Crocuss ativus L) Cultivated in Syria Using Liquid Chromatography-Mass Spectrometry. Am J Biomed Sci & Res. 2025 26(3).
- Zanboua R, Abbood A (2024) Survey of Knowledge About the Interaction Between Food and Drugs Among the Syrian Population. International Journal of Advanced Pharmaceutical Sciences and Research (IJAPSR) 4(4): 22-28.
- Qattan M, Dashash M, S Malek Z (2024) Enhancing Academic Success: A mixed Study on the Influencing Factors among Pharmacy Students in Syrian Universities. F1000Res 13: 868.
- Thallaj N (2022) Design and Synthesis Ligands Tetradents Substituted with Halogenes in α- Position and Conjugation with Riboflavin (Bioconjugates): Conjugate ligands Type TPA’s with Flavonoids as un–Electron Mediator. Biomedicine and Chemical Sciences, 1(2): 47-56.
- Thallaj N, Alrasho JF, Sofi FK (2024) Advancements in Antiviral Therapeutics: A Comprehensive Review of Hepatitis C Virus and Novel Flavone Leads. International Journal of Advanced Pharmaceutical Sciences and Research (IJAPSR) 5(1): 28-40.
- Thallaj N (2025) Analyzing Charge Variant Profiles of Monoclonal Antibodies Conjugated to Cytotoxic Agents. International Journal of Advanced Pharmaceutical Sciences and Research (IJAPSR) 5(3): 20-26.
- Thallaj N (2025) Biomimetic Synthesis and Phytochemical Analysis of Lodopyridone: Insights into 4-Pyridone Derivatives and Thiopeptide Antibiotics. International Journal of Advanced Pharmaceutical Sciences and Research (IJAPSR) 5(3): 9-19.
- Ghassan Shannan, Zeina S (2025) Malek and Nasser Thallaj. Pactamycin: A Comprehensive Review of Its Biological Activity, Biosynthesis, And Synthetic Strategies in the Fight Against Antibiotic Resistance. European Journal of Biomedical and Pharmaceutical Sciences (EJBPS) 12(4): 334-353.
- Ghassan Shannan, Zeina S (2025) Malek and Nasser Thallaj. A Review of Antibiotic-Induced Drug Allergies: Mechanisms, Prevalence, And Future Perspectives. European Journal of Biomedical and Pharmaceutical Sciences (EJBPS) 12(4): 387-399.
- Alma Soudan, Joudy Abokassem, Shaam Ammar and Nasser Thallaj (2025) Advancements in the Total Synthesis of Cyclotripeptidic Natural Products: Exploring the Therapeutic Potential Of Marine-Derived Compounds. European Journal of Biomedical and Pharmaceutical Sciences (EJBPS) 12(4): 354-377.
- Labban L, Thallaj N, Labban A (2020) Assessing the level of awareness and knowledge of COVID 19 pandemic among syrians. Arch Med 12(2): 8.
- Labban L, Kudsi M, Malek Z, Thallaj N (2020) Advances in Medical. Dental and Health Sciences 3(3): 45-48.
- Thallaj N (2021) Efficiency in transporting molecular oxygen to iron (II) complexes with ligands type tri (2-pyridylmethyl) amine substitution aromatic in (α) position by a mechanism that mimics biological oxidation.
- Labban L (2020) International Journ. IJMS 5(12): 23-36.
- Thallaj N (2022) Tishreen University Journal-Medical Sciences Series 44(1): 59-77.
- Thallaj N (2020) Evaluation of antimicrobial activities and bioactive compounds of different extracts related to syrian traditional products of damask rose (Rosa damascena). Open Access Library Journal 7(05): 1.
- Thallaj N (2023) Characterization of charge heterogeneity of antibody-drug conjugate by anion-exchange chromatofocusing. Tishreen University Journal-Medical Sciences Series 44(6): 21-29.
- Labban L, M Kudsi, Z Malek, N Thallaj (2020) Advances in Medical, Dental and Health Sciences 3(3): 45-48.
- Thallaj N (2023) A Brief Overview of the General Characteristics and Reactivity Towards Dioxygen of the Ferrous Tris (2-Pyridylmethyl Amine) Series Complexes is Presented. International Journal of Advanced Pharmaceutical Sciences and Research (IJAPSR) 3(3): 1-18.
- Abbood A, Thallaj N (2023) Comparison between chromatofocusing and icIEF charge variant profiles of unconjugated monoclonal antibodies and their drug conjugates. Arab Journal of Pharmaceutical Sciences 7(1).
- Thallaj N (2024) Detecting Antioxidant Behavior for Phenolic Content of Some Beauty Care Creams in Syrian Market. Indian Journal of Advanced Chemistry 2(1): 10-14.
- Thallaj N (2024) Advancements in Pharmaceutical Science: Synthesis and Application of Molecular Cages Integrating N-Heterocyclic Carbenes for Enhanced Stability and Functionality. International Journal of Advanced Pharmaceutical Sciences and Research (IJAPSR) 5(1): 6-19
- Thallaj N (2023) Tishreen University Journal-Medical Sciences Series 44(6): 21-29.
- Thallaj N (2024) Conductive Nanocomposites Based on Graphene and Natural Polymers. International Journal of Advanced Pharmaceutical Sciences and Research (IJAPSR) 4(6): 7-27.
- Thallaj N (2022) Design and Synthesis Ligands Tetradents Substituted with Halogenes in α-Position and Conjugation with Riboflavin (Bioconjugates): Conjugate ligands Type TPA’s with Flavonoids as un Electron Mediator. Biomedicine and Chemical Sciences 1(2): 47-56.
- Dayoub L, Alkuddsi Y, Thallaj N (2023) Investigating the interaction between some of Bipolaris sorokiniana’s toxins and the Gα Subunit of the Wheat G-Protein using bioinformatics tools. University of Thi-Qar Journal of agricultural research 12(1): 181-200.
- Thallaj N, Abbood A (2023) Tishreen University Journal-Medical Sciences Series 45: 47-57.
- Thallaj N (2022) HPLC method validation for determination of pentoxifylline in pharmaceutical dosage forms. Indian J Adv Chem 2(1): 5-9.
- Thallaj N (2022) Ligands tris (2-pyridylmethyl) amine with nitrile group in α-substituted and the corresponding FeCl2 complexes.
- Thallaj N (2022) Review of Calixarene-Derivatives in Transition Metal Chemistry. International Journal of Advanced Pharmaceutical Sciences and Research (IJAPSR) 2(3): 1-30.
- Thallaj N (2022) Ligands tris (2-pyridylmethyl) amine with nitrile group in α-complexes 2 substituted and the corresponding FeCl. Journal of Biological Pharmaceutical And Chemical Research 9(1): 25-47
- Thallaj N (2022) Journal of Biological Pharmaceutical And Chemical Research 9 (3): 40-47.
- NK Thallaj (2018) Damascus University Journal for Basic Sciences. Conjunction of riboflavin to TPAs ligands with two halogens atoms in α-position substitution 34: 1.
- NK Thallaj (2017) Designing and synthesis of DPAs ligands to induce structural modification of Riboflavin. Journal of AlBaath University 39(8): 33-72.
- THALLAJ, Nasser Ferrous complexes with aromatic α-substituted tris (2-pyridylmethyl) amine ligands: effect of the substituents and biomimetic reactivity.
- Thallaj N (2024) Advancements in Peptide Vectors for Cancer Therapy and Tumor Imaging: A Comprehensive Review. International Journal of Advanced Pharmaceutical Sciences and Research (IJAPSR) 4(5): 29-49.
- Thallaj N, ali Hamad DH, Batieh NA, Saker GA (2023) A Review of Colon Cancer Treatment using Photoactive Nanoparticles. International Journal of Advanced Pharmaceutical Sciences and Research (IJAPSR) 3(4): 1-32.
- Labban, Louay (2020) International Journ. IJMS 5(12): 23-36.
- Labban L, Malek Z (2020) Photoperiod regulates the daily profiles of tryptophan hydroxylase-2 gene expression the raphe nuclei of rats. International Journal of Current Research in Physiology and Pharmacology 1-5.
- Labban, Louay, Nasser Thallaj, and Zeina Malek (2019) The implications of E-cigarettes or" vaping" on the nutritional status. Jour Med Resh and Health Sci 2(11): 784-787.
- MALEK Z (2018) The effect of regular exercise on the expression of tryptophan hydroxylase-2 gene within Raphe complex: functional relationship with adrenal hormones and glucose blood levels. in Journal of AlBaath University.
- MALEK Z (2018) The effect of Glucocorticoids rhythm on serotonin release within the hypothalamic suprachiasmatic nuclei; the locus of the Biological Clock: functional relationship with blood glucose. Tishreen University Journal for Research and Scientific Studies 40: 1-17.
- Labban L (2018) The Association between Visceral Fat, Dietary Patterns, and Comorbidities. Open Access Library Journal 5(07): 1.
- Labban LM, Alshishkli MM, Alkhalaf A, Malek Z (2017) The effects of dental amalgam toxicity on health and nutritional status. J. Adv. Res. Dent. Oral Health 2: 1-4.
- Shannan G, Malek ZS, Thallaj N (2025) Advancements in Protein Synthesis: Triazole Multi-Ligation and Cycloadditions for Pharmaceutical Applications. Am J Biomed Sci & Res 26(5): 685-700.
- Channan G (2018) Communicable diseases in the Mediterranean region. EJIFCC 29(3): 164-170.
- Shannan G (2011) TUBERCULOSIS IN THE AFCB COUNTRIES; RE-EMERGING DISEASE. In CLINICAL CHEMISTRY AND LABORATORY MEDICINE. GENTHINER STRASSE 13, D-10785 BERLIN, GERMANY: WALTER DE GRUYTER & CO 49: S41-S41.
- Channan GM (1977) Studies of vitamin D hydroxylation in chronic renal failure.
- Aldakhoul M, Sleman S, Alragheb N, Alfarwan M, Alallan L, et al. (2024) Phytochemical Composition and Health Benefits of Pumpkin. Research Journal of Pharmacy and Technology 17(10): 4915-4921.
- Khabbazeh Sally, Saly Alhaddad, Yazan Kiwan, Louai Alallan and Nasser Thallaj, et al. (2024) The Benefits of Jujube: Extracting Phenols and Saponins for Medicinal and Nutritional Uses. Azerbaijan Pharmaceutical and Pharmacotherapy Journal 23(4): 1-7.
- Nasser Thallaj, Dalia Aboufakher, Rita Zeinaldin, Rawa Khreit, Racha Khatib (2025) Prevalence and Antibiotic Resistance Patterns of Multidrug-Resistant Gram-Negative Bacilli in Hospitalized Patients in Sweida, Syria. FJHMS 1(1): 70-78.
- Thallaj Dr N (2022) Review of Calixarene-Derivatives in Transition Metal Chemistry. International Journal of Advanced Pharmaceutical Sciences and Research 2(3): 1-28.





























































We use cookies to ensure you get the best experience on our website.